【药物名称】KF-22678
化学结构式(Chemical Structure):
参考文献No.32249
标题:DC107 derivs.
作者:Kanda, Y.; Saitoh, Y.; Saito, H.; Ashizawa, T.; Sugiyama, K.; Gomi, K.; Kakita, S.; Takahashi, Y.; Murakata, C. (Kyowa Hakko Kogyo Co., Ltd.)
来源:EP 0786462; US 5733924; WO 9700260
合成路线图解说明:

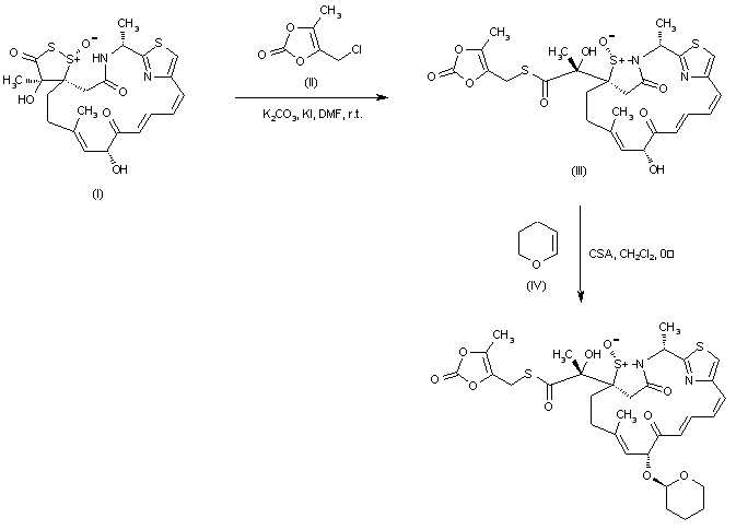
Rearrangement of leinamycin (I) to thioester (III) was achieved by treatment with 4-chloromethyl-5-methyl-2-oxo-1,3-dioxolene (II) in the presence of KI and K2CO3. The required tetrahydropyranyl ether was then obtained by condensation of (III) with dihydropyran (IV) employing camphorsulfonic acid as the catalyst.

参考文献No.534905
标题:Synthesis and antitumor activity of novel thioester derivatives of leinamycin
作者:Kanda, Y.; Ashizawa, T.; Kakita, S.; Takahashi, Y.; Kono, M.; Yoshida, M.; Saitoh, Y.; Okabe, M.
来源:J Med Chem 1999,42(8),1330
合成路线图解说明:

Rearrangement of leinamycin (I) to thioester (III) was achieved by treatment with 4-chloromethyl-5-methyl-2-oxo-1,3-dioxolene (II) in the presence of KI and K2CO3. The required tetrahydropyranyl ether was then obtained by condensation of (III) with dihydropyran (IV) employing camphorsulfonic acid as the catalyst.

Drug Information Express,Drug R&D,Chemical Database,Patent Search.
Copyright © 2006-2026 Drug Future. All rights reserved.Contact Us