【药物名称】CL-191983, OCA-983
化学结构式(Chemical Structure):
参考文献No.25124
标题:Novel 2-thiosubstd. carbapenems
作者:Lin, Y.-I.; Bitha, P.; Sakya, S.; Strohmeyer, T.W.; Bush, K. (American Cyanamid Co.)
来源:CA 2118961; EP 0617036; JP 1994321948; US 5602118
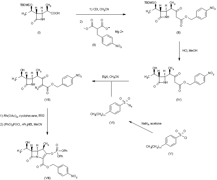
合成路线图解说明:

Azetidineacetic acid derivative (I) was activated with 1,1'-carbonyldiimidazole and then condensed with p-nitrobenzyl malonate magnesium salt (II) to afford ketoester (III). Desilylation of (III) with methanolic HCl then gave alcohol (IV). Dodecylbenzenesulfonyl azide (VI) was prepared by treatment of sulfonyl chloride (V) with NaN3. Reaction of (IV) with sulfonyl azide (VI) provided diazo ester (VII). Ring closure of (VII) in the presence of rhodium diacetate in hot cyclohexane, followed by condensation with diphenylphosphoric chloride furnished carbapenem phosphate (VIII).

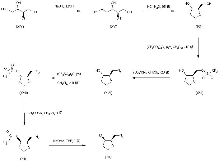
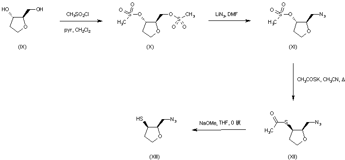
合成路线图解说明:

1,2-Dideoxy-D-ribose (IX) was converted to bismesylate (X) upon treatment with methanesulfonyl chloride and pyridine. Displacement of the primary mesylate group of (X) with LiN3 in DMF gave azide (XI). The secondary mesylate group was further displaced with potassium thioacetate to provide (XII). Thiol (XIII) was then prepared by hydrolysis of the thioester function with NaOMe in THF.

合成路线图解说明:

In an alternative procedure, deoxyribose (XIV) was reduced to 2-deoxy-D-erythropentitol (XV) with NaBH4. Acid-catalyzed cyclization of (XV) produced (IX), which was converted to triflate (XVI) using trifluoromethanesulfonic anhydride and pyridine. Displacement with tetrabutylammonium azide provided azido derivative (XVII). Further treatment with trifluoromethanesulfonic anhydride gave triflate (XVIII), which was then displaced with potassium thioacetate to yield thioester (XII). This was hydrolyzed with NaOMe as above to furnish thiol (XIII).

合成路线图解说明:

Coupling of carbapenem phosphate (VIII) with thiol (XIII) using diisopropylethylamine gave rise to sulfide (XIX). Hydrogenolysis of the p-nitrobenzyl group of (XIX) with simultaneous azide reduction in the presence of Pd/C provided (XX). Treatment of p-nitrobenzyl chloroformate (XXI) with p-nitrophenol (XXII) afforded the nitrophenyl carbonate (XXIII), which was coupled with L-valine (XXIV), yielding carbamate (XXV). Activation of (XXV) with N-hydroxy succinimide and DCC then produced the succinimidyl ester (XXVI). Amine (XX) was coupled with succinimidyl ester (XXVI) to furnish amide (XXVII). The p-nitrobenzyl ester was finally removed by hydrogenation over Pd/C to provide the title compound.

参考文献No.432864
标题:Peptidic prodrugs of novel aminomethyl-THF 1beta-methylcarbapenems
作者:Lin, Y.-I.; et al.
来源:Bioorg Med Chem Lett 1997,7(13),1665
合成路线图解说明:

Coupling of carbapenem phosphate (VIII) with thiol (XIII) using diisopropylethylamine gave rise to sulfide (XIX). Hydrogenolysis of the p-nitrobenzyl group of (XIX) with simultaneous azide reduction in the presence of Pd/C provided (XX). Treatment of p-nitrobenzyl chloroformate (XXI) with p-nitrophenol (XXII) afforded the nitrophenyl carbonate (XXIII), which was coupled with L-valine (XXIV), yielding carbamate (XXV). Activation of (XXV) with N-hydroxy succinimide and DCC then produced the succinimidyl ester (XXVI). Amine (XX) was coupled with succinimidyl ester (XXVI) to furnish amide (XXVII). The p-nitrobenzyl ester was finally removed by hydrogenation over Pd/C to provide the title compound.

参考文献No.545753
标题:Convergent synthesis of oral 1beta-methylcarbapenems
作者:Bitha, P.; Li, Z.; Lin, Y.I.
来源:J Antibiot 1999,52(7),643
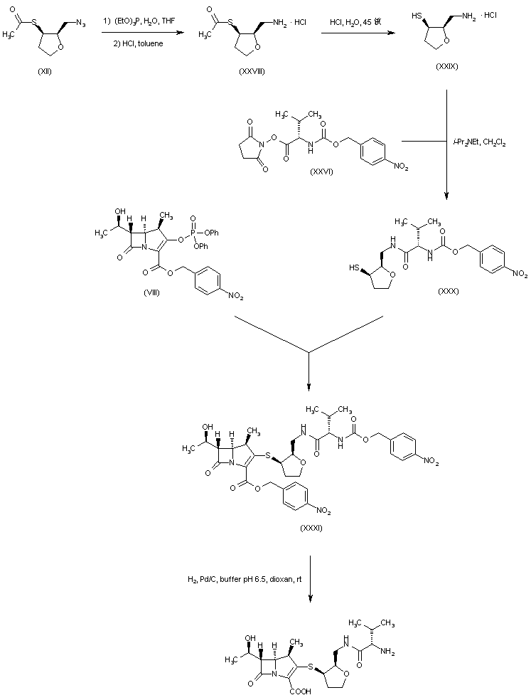
合成路线图解说明:

A convergent synthesis was further developed. Azide (XII) was reduced to the corresponding amine (XXVIII) employing triethyl phosphite. Hydrolysis of the thioacetate ester of (XXVIII) then gave thiol (XXIX). Coupling of (XXIX) with protected valine succinimidyl ester (XXVI) produced amide (XXX). Condensation of (XXX) with carbapenem phosphate (VIII) yielded adduct (XXXI). The p-nitrobenzyl esters were finally deprotected by catalytic hydrogenation.

Drug Information Express,Drug R&D,Chemical Database,Patent Search.
Copyright © 2006-2026 Drug Future. All rights reserved.Contact Us