【药物名称】LY-366094
化学结构式(Chemical Structure):
参考文献No.35216
标题:Anti-viral cpds.
作者:Jungheim, L.N.; Shepherd, T.A.; Spitzer, W.A.; Tebbe, M.J. (Eli Lilly and Company)
来源:EP 0906097; WO 9746237
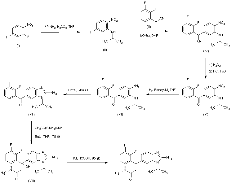
合成路线图解说明:

Treatment of 2,4-difluoronitrobenzene (I) with isopropylamine in the presence of K2CO3 in THF afforded 2-isopropylamino-4-fluoronitrobenzene (II). Subsequent condensation of (II) with 2,3-difluorophenylacetonitrile (III) by means of potassium tert-butoxide, followed by oxidative treatment of the intermediate nitrile (IV) with H2O2 generated benzophenone (V). The nitro group of (V) was then reduced by hydrogenation over Raney Nickel yielding diamine (VI), which was cyclized to benzimidazole (VII) upon treatment with cyanogen bromide. Addition of the lithium anion of N-methyl-N-(trimethylsilyl)acetamide to (VII) gave beta-hydroxyamide (VIII). Finally, acid promoted dehydration of (VIII) furnished the corresponding alpha,beta-unsaturated amide.

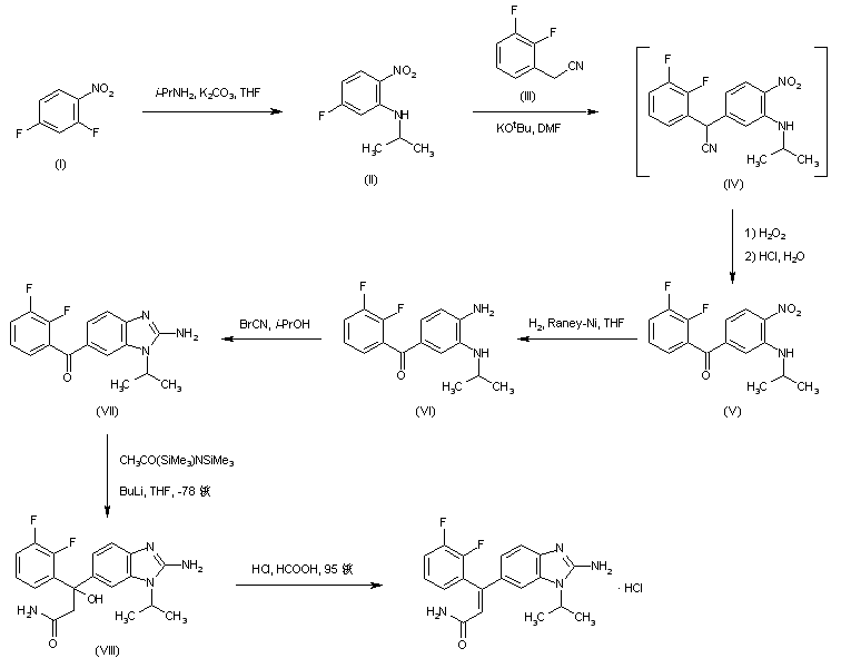
合成路线图解说明:

Treatment of 2,4-difluoronitrobenzene (I) with isopropylamine in the presence of K2CO3 in THF afforded 2-isopropylamino-4-fluoronitrobenzene (II). Subsequent condensation of (II) with 2,3-difluorophenylacetonitrile (III) by means of potassium tert-butoxide, followed by oxidative treatment of the intermediate nitrile (IV) with H2O2 generated benzophenone (V). The nitro group of (V) was then reduced by hydrogenation over Raney Nickel yielding diamine (VI), which was cyclized to benzimidazole (VII) upon treatment with cyanogen bromide. Addition of the lithium anion of bis(trimethylsilyl)acetamide to (VII) gave beta-hydroxyamide (VIII). Finally, acid promoted dehydration of (VIII) furnished the corresponding alpha,beta-unsaturated amide, which was isoalted as the hydrochloride salt.

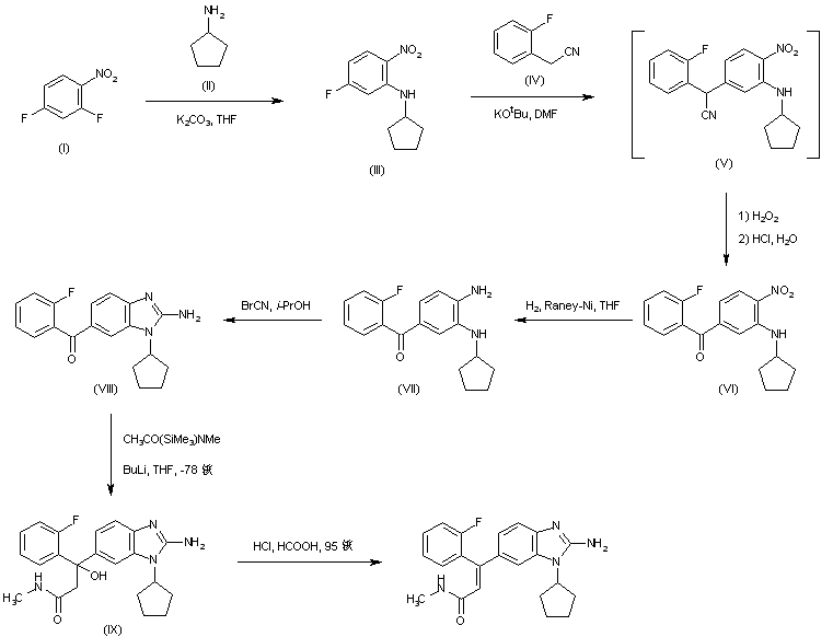
合成路线图解说明:

Treatment of 2,4-difluoronitrobenzene (I) with cyclopentylamine (II) in the presence of K2CO3 in THF afforded 2-cyclopentylamino-4-fluoronitrobenzene (III). Subsequent condensation of (III) with 2-fluorophenylacetonitrile (IV) by means of potassium tert-butoxide, followed by oxidative treatment of the intermediate nitrile (V) with H2O2 generated benzophenone (VI). The nitro group of (VI) was then reduced by hydrogenation over Raney Nickel yielding diamine (VII), which was cyclized to benzimidazole (VIII) upon treatment with cyanogen bromide. Addition of the lithium anion of N-methyl-N-(trimethylsilyl)acetamide to (VIII) gave beta-hydroxyamide (IX). Finally, acid promoted dehydration of (IX) furnished the corresponding alpha,beta-unsaturated amide, whic was isolated as the hydrochloride salt.

Drug Information Express,Drug R&D,Chemical Database,Patent Search.
Copyright © 2006-2026 Drug Future. All rights reserved.Contact Us