【药物名称】Clamikalant sodium, HMR-1098
化学结构式(Chemical Structure):
参考文献No.24737
标题:Substd. benzenesulfonylureas and -thioureas, process for their preparation and their use as pharmaceuticals
作者:Englert, H.; Mania, D.; Hartung, J.; G鰃elein, H.; Kaiser, J.; Linz, W.; Wettlaufer, D. (Aventis Pharma Deutschland GmbH)
来源:CA 2116165; EP 0612724; JP 1995304728; US 5574069; US 5698596; US 5776980
合成路线图解说明:

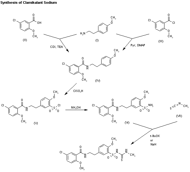
Condensation of 2-(4-methoxyphenyl)ethylamine (I) with either 5-chloro-2-methoxybenzoic acid (II) by means of CDI and TEA or 5-chloro-2-methoxybenzoyl chloride (III) by means of pyridine and DMAP gives the corresponding benzamide (IV), which by treatment with chlorosulfonic acid yields the sulfonyl chloride (V). Reaction of compound (V) with aqueous ammonia in acetone affords the expected sulfonamide (VI), which is finally treated with methyl isothiocyanate (VII) by means of either KOtBu or NaH in DMF.

参考文献No.611282
标题:Cardioselective KATP channel blockers derived from a new series of m-anisamidoethylbenzenesulfonylthioureas
作者:Scheidler, S.; Englert, H.C.; Gerlach, U.; Goegelein, H.; Hartung, J.; Heitsch, H.; Mania, D.
来源:J Med Chem 2001,44(7),1085
合成路线图解说明:

Condensation of 2-(4-methoxyphenyl)ethylamine (I) with either 5-chloro-2-methoxybenzoic acid (II) by means of CDI and TEA or 5-chloro-2-methoxybenzoyl chloride (III) by means of pyridine and DMAP gives the corresponding benzamide (IV), which by treatment with chlorosulfonic acid yields the sulfonyl chloride (V). Reaction of compound (V) with aqueous ammonia in acetone affords the expected sulfonamide (VI), which is finally treated with methyl isothiocyanate (VII) by means of either KOtBu or NaH in DMF.

参考文献No.639178
标题:Clamikalant sodium
作者:Mart韓, L.; Mealy, N.M.; Casta馿r, J.
来源:Drugs Fut 2001,26(10),951
合成路线图解说明:

Condensation of 2-(4-methoxyphenyl)ethylamine (I) with either 5-chloro-2-methoxybenzoic acid (II) by means of CDI and TEA or 5-chloro-2-methoxybenzoyl chloride (III) by means of pyridine and DMAP gives the corresponding benzamide (IV), which by treatment with chlorosulfonic acid yields the sulfonyl chloride (V). Reaction of compound (V) with aqueous ammonia in acetone affords the expected sulfonamide (VI), which is finally treated with methyl isothiocyanate (VII) by means of either KOtBu or NaH in DMF.

Drug Information Express,Drug R&D,Chemical Database,Patent Search.
Copyright © 2006-2026 Drug Future. All rights reserved.Contact Us