【药物名称】A-185684
化学结构式(Chemical Structure):
参考文献No.486491
标题:Anhydrolide macrolides. 2. Synthesis and antibacterial activity of 2,3-anhydro-6.O-methyl 11,12-carbazate erythromycin A analogues
作者:Elliott, R.L.; Pireh, D.; Griesgraber, G.; Nilius, A.M.; Ewing, P.J.; Bui, M.H.; Raney, P.M.; Flamm, R.K.; Kim, K.; Henry, R.F.; Chu, D.T.; Plattner, J.J.; Or, Y.S.
来源:J Med Chem 1998,41(10),1651-1659
合成路线图解说明:

Treatment of clarithromycin (I) with ethylene carbonate in refluxing triethylamine followed by dilute hydroalcoholic HCl removed the cladinose unit and dehydrated the C-11 hydroxyl to afford enone (II). Selective acetylation with acetic anhydride and triethylamine in dichloromethane gave the 2'-acetate (III), which was then mesylated at the 3-hydroxyl with methanesulfonic anhydride in pyridine to yield sulfonate (IV). Reaction of IV with carbonyldiimidazole (CDI) in DMF-THF, followed by NaH effected elimination of the methylsulfonyl group and gave the acylimidazole (V). Subsequent treatment of V with hydrazine in DMF, followed by methanolysis of the 2'-acetate gave a mixture of the epimeric carbazates (VI and VII) and the pyrazoline (VIII).

合成路线图解说明:

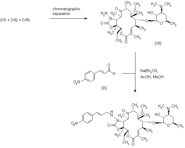
Chromatographic separation of the mixture afforded the desired 10(R)-carbazate (VII), which was reductively alkylated with 4-nitrocinnamaldehyde (IX) in the presence of sodium cyanoborohydride and acetic acid to yield the title compound.

合成路线图解说明:

Treatment of clarithromycin (I) with ethylene carbonate in refluxing triethylamine followed by dilute hydroalcoholic HCl removed the cladinose unit and dehydrated the C-11 hydroxyl to afford enone (II). Selective acetylation with acetic anhydride and triethylamine in dichloromethane gave the 2'-acetate (III), which was then mesylated at the 3-hydroxyl with methanesulfonic anhydride in pyridine to yield sulfonate (IV). Reaction of IV with carbonyldiimidazole (CDI) in DMF-THF, followed by NaH effected elimination of the methylsulfonyl group and gave the acylimidazole (V) (1). Subsequent treatment of V with hydrazine in DMF, followed by methanolysis of the 2'-acetate gave a mixture of the epimeric carbazates (VI and VII) and the pyrazoline (VIII).

合成路线图解说明:

Chromatographic separation of the mixture afforded the desired 10(R)-carbazate (VII), which was reductively alkylated with 4-nitrocinnamaldehyde (IX) in the presence of sodium cyanoborohydride and acetic acid to yield the 4-nitrocinnamyl compound (X). Finally, reduction with zinc dust in methanolic HCl gave the target aminocompound.

参考文献No.486493
标题:Anhydrolide macrolides. 2. Synthesis and antibacterial activity of 2,3-anhydro-6.O-methyl 11,12-carbazate erythromycin A analogues
作者:Griesgraber, G.; Kramer, M.J.; Elliott, R.L.; Nilius, A.M.; Ewing, P.J.; Raney, P.M.; Bui, M.H.; Flamm, R.K.; Chu, D.T.; Plattner, J.J.; Or, Y.S.
来源:J Med Chem 1998,41(10),1660-1670
合成路线图解说明:

Treatment of clarithromycin (I) with ethylene carbonate in refluxing triethylamine followed by dilute hydroalcoholic HCl removed the cladinose unit and dehydrated the C-11 hydroxyl to afford enone (II). Selective acetylation with acetic anhydride and triethylamine in dichloromethane gave the 2'-acetate (III), which was then mesylated at the 3-hydroxyl with methanesulfonic anhydride in pyridine to yield sulfonate (IV). Reaction of IV with carbonyldiimidazole (CDI) in DMF-THF, followed by NaH effected elimination of the methylsulfonyl group and gave the acylimidazole (V). Subsequent treatment of V with hydrazine in DMF, followed by methanolysis of the 2'-acetate gave a mixture of the epimeric carbazates (VI and VII) and the pyrazoline (VIII).

合成路线图解说明:

Chromatographic separation of the mixture afforded the desired 10(R)-carbazate (VII), which was reductively alkylated with 4-nitrocinnamaldehyde (IX) in the presence of sodium cyanoborohydride and acetic acid to yield the title compound.

合成路线图解说明:

Treatment of clarithromycin (I) with ethylene carbonate in refluxing triethylamine followed by dilute hydroalcoholic HCl removed the cladinose unit and dehydrated the C-11 hydroxyl to afford enone (II). Selective acetylation with acetic anhydride and triethylamine in dichloromethane gave the 2'-acetate (III), which was then mesylated at the 3-hydroxyl with methanesulfonic anhydride in pyridine to yield sulfonate (IV). Reaction of IV with carbonyldiimidazole (CDI) in DMF-THF, followed by NaH effected elimination of the methylsulfonyl group and gave the acylimidazole (V) (1). Subsequent treatment of V with hydrazine in DMF, followed by methanolysis of the 2'-acetate gave a mixture of the epimeric carbazates (VI and VII) and the pyrazoline (VIII).

合成路线图解说明:

Chromatographic separation of the mixture afforded the desired 10(R)-carbazate (VII), which was reductively alkylated with 4-nitrocinnamaldehyde (IX) in the presence of sodium cyanoborohydride and acetic acid to yield the 4-nitrocinnamyl compound (X). Finally, reduction with zinc dust in methanolic HCl gave the target aminocompound.

Drug Information Express,Drug R&D,Chemical Database,Patent Search.
Copyright © 2006-2026 Drug Future. All rights reserved.Contact Us