【药物名称】
化学结构式(Chemical Structure):
参考文献No.477008
标题:Synthesis and evaluation of a novel series of phosphodiesterase IV inhibitors. A potential treatment for asthma
作者:Beasley, S.C.; Cooper, N.; Gowers, L.; Gregory, J.P.; Haughan, A.F.; Hellewell, P.G.; Macari, D.; Miotla, J.; Montana, J.G.; Morgan, T.; Naylor, R.; Runcie, K.A.; Tuladhar, B.; Warneck, J.B.
来源:Bioorg Med Chem Lett 1998,8(19),2629
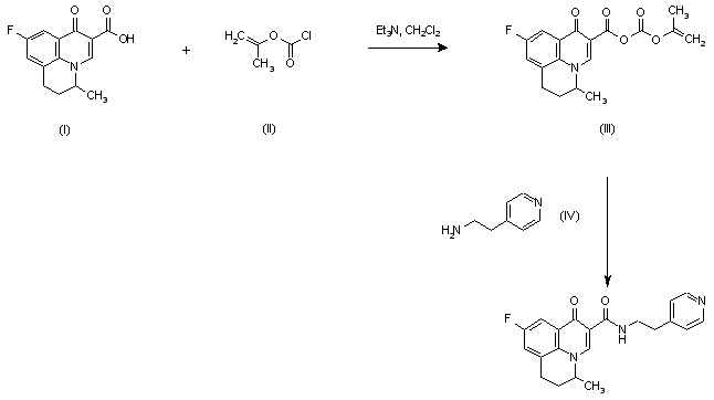
合成路线图解说明:

Title compound was obtained from flumequine (I) by treatment with isopropenyl chloroformate (II) and triethylamine, followed by condensation of the resulting mixed anhydride (III) with 2-(4-pyridyl)ethylamine (IV).

Drug Information Express,Drug R&D,Chemical Database,Patent Search.
Copyright © 2006-2026 Drug Future. All rights reserved.Contact Us