【药物名称】SM-19712
化学结构式(Chemical Structure):
参考文献No.34100
标题:Sulfonylureidopyrazole derivs.
作者:Matsushita, K.; Hasegawa, H.; Kuribayashi, Y.; Ohashi, N. (Sumitomo Pharmaceuticals Co., Ltd.)
来源:EP 0885890; JP 1998007658; WO 9730978
合成路线图解说明:

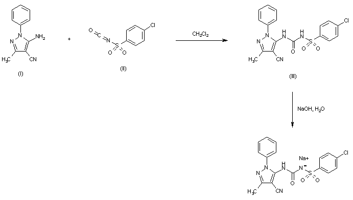
The known 5-amino-4-cyano-1-phenylpyrazole (I) was coupled with 4-chlorobenzenesulfonyl isocyanate (II) to produce the sulfonyl urea (III). This compound was converted to the corresponding sodium salt by evaporation of its solution in aqueous NaOH.

参考文献No.641369
标题:Synthesis of endothelin converting enzyme inhibitors and their structure activity relationships
作者:Hasegawa, H.; et al.
来源:21st Symp Med Chem (Nov 28 2001, Kyoto) 2001,Abst 1P-21
合成路线图解说明:

The known 5-amino-4-cyano-1-phenylpyrazole (I) was coupled with 4-chlorobenzenesulfonyl isocyanate (II) to produce the sulfonyl urea (III). This compound was converted to the corresponding sodium salt by evaporation of its solution in aqueous NaOH.

合成路线图解说明:

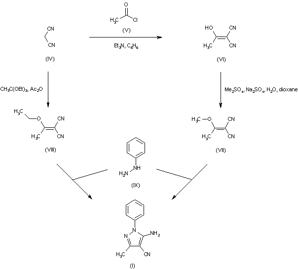
The intermediate amino pyrazole (I) was prepared as follows. Acylation of malononitrile (IV) with acetyl chloride (V) in the presence of Et3N afforded (1-hydroxyethyliden)malononitrile (VI). Subsequent methylation of the hydroxyl group with dimethyl sulfate gave enol ether (VII). Alternatively, malononitrile (IV) was converted to the ethyl enol ether (VIII) by condensation with triethyl orthoacetate in the presence of Ac2O. Cyclization of either (VII) or (VIII) with phenylhydrazine (IX) furnished 5-amino-4-cyano-1-phenylpyrazole (I).

Drug Information Express,Drug R&D,Chemical Database,Patent Search.
Copyright © 2006-2026 Drug Future. All rights reserved.Contact Us