【药物名称】H-1152, H-1152P, HMN-1152
化学结构式(Chemical Structure):
参考文献No.33985
标题:Isoquinoline derivs. and drugs
作者:Matsuura, A.; Matsuzaki, T. (Nippon Shinyaku Co., Ltd.)
来源:EP 0885888; US 6153608; WO 9728130
合成路线图解说明:

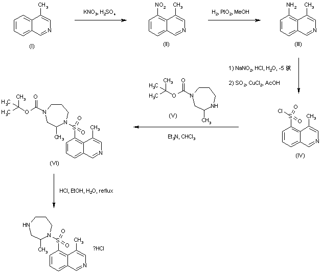
Nitration of 4-methylisoquinoline (I) with KNO3 in H2SO4 provided the 5-nitro derivative (II). Subsequent catalytic hydrogenation of the nitro group of (II) gave amine (III). Diazotization of (III), followed by treatment with SO2 and CuCl2, generated the sulfonyl chloride (IV). This was condensed with 4-Boc-2-methyl-perhydro-1,4-diazepine (V) to furnish the sulfonamide (VI). The Boc protecting group of (VI) was finally cleaved using HCl in aqueous EtOH.

Drug Information Express,Drug R&D,Chemical Database,Patent Search.
Copyright © 2006-2026 Drug Future. All rights reserved.Contact Us