【药物名称】KST-150290
化学结构式(Chemical Structure):
参考文献No.530152
标题:Discovery of novel 3-isoxazolylvinylcephalosporins
作者:Choi, K.I.
来源:Drugs Fut 1999,24(3),287
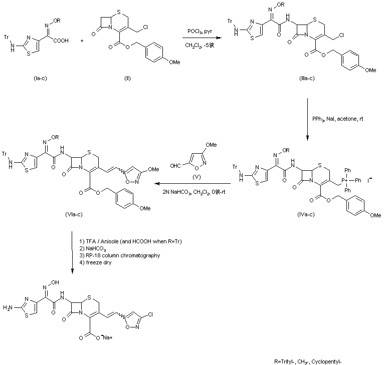
合成路线图解说明:

The cephalosporin was synthesized following the reaction pathway depicted in Scheme 25490101a: Protected 2-(2-aminothiazol-4-yl)-2-(alkoxy)iminoacetic acid ((Ia-c) was reacted with p-methoxybenzyl 7-amino-3-chloromethyl-cephaslosporonate (II) by a conventional method (POCl3, pyr / CH2Cl2. -5 C) to give the acylated product (IIIa-c). Product (IIIa-c) was then coverted to a phosponium salt (Iva-c) (PPh3, NaI / acetone, r.t.), followed by the reaction (NaHCO3(2N) / CH2Cl2, 0 C - r.t.) with a substituted isoxazole aldehyde (V) to afford the protected final product (Via-c). The aldehyde (V) was prepared by the sequential reduction-oxidation of the 1,3-dipolar cycloaddition product of methyl propiolate and the corresponding aldoxime. Deprotection, sodium salt formation and purification by reverse phase column chromatography (LiChrosorb(R) RP-18, 25% aq. MeOH) followed by frezee drying gave the final product as an amorphous white solid.

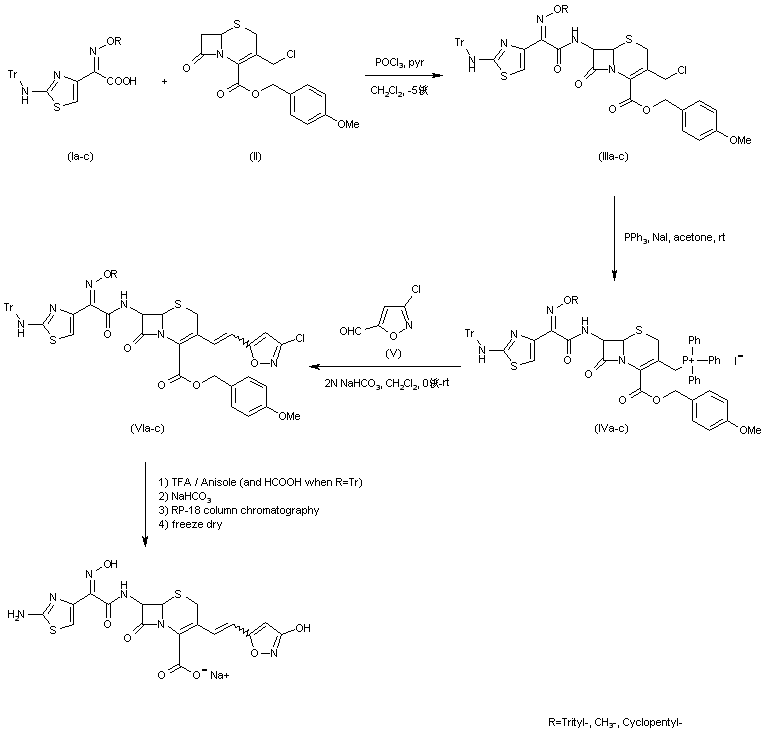
合成路线图解说明:

The cephalosporin was synthesized following the reaction pathway depicted in Scheme 25490201a: Protected 2-(2-aminothiazol-4-yl)-2-(alkoxy)iminoacetic acid ((Ia-c) was reacted with p-methoxybenzyl 7-amino-3-chloromethyl-cephaslosporonate (II) by a conventional method (POCl3, pyr / CH2Cl2. -5 C) to give the acylated product (IIIa-c). Product (IIIa-c) was then coverted to a phosponium salt (Iva-c) (PPh3, NaI / acetone, r.t.), followed by the reaction (NaHCO3(2N) / CH2Cl2, 0 C - r.t.) with a substituted isoxazole aldehyde (V) to afford the protected final product (Via-c). The aldehyde (V) was prepared by the sequential reduction-oxidation of the 1,3-dipolar cycloaddition product of methyl propiolate and the corresponding aldoxime. Deprotection, sodium salt formation and purification by reverse phase column chromatography (LiChrosorb(R) RP-18, 25% aq. MeOH) followed by frezee drying gave the final product as an amorphous white solid.

Drug Information Express,Drug R&D,Chemical Database,Patent Search.
Copyright © 2006-2026 Drug Future. All rights reserved.Contact Us