【药物名称】Garenoxacin mesilate, T-3811ME, BMS-284756, T-3811(free base, anhydrous), Inforce
化学结构式(Chemical Structure):
参考文献No.34039
标题:Quinolonecarboxylic acid derivs. or salts thereof.
作者:Todo, Y.; Hayashi, K.; Takahata, M.; Watanabe, Y.; Narita, H. (Toyama Chemical Co., Ltd.)
来源:EP 0882725; US 6025370; WO 9729102
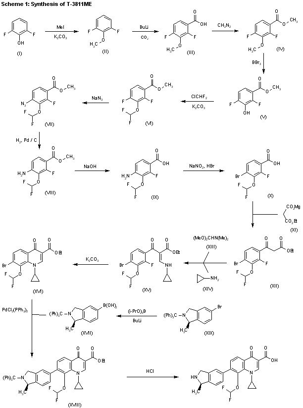
合成路线图解说明:

The methylation of 2,6-difluorophenol (I) with methyl iodide and K2CO3 in DMF gives 2,6-difluoroanisole (II), which by treatment with butyllithium and CO2 yields 2,4-difluoro-3-methoxybenzoic acid (III). The methylation of (III) with diazomethane in ether affords the methyl ester (IV), which by reaction with BBr3 in dichloromethane results in 2,4-difluoro-3-hydroxybenzoic acid methyl ester (V). The alkylation of (V) with chlorodifluoromethane and K2CO3 in DMF gives 3-(difluoromethoxy)-2,4-difluorobenzoic acid methyl ester (VI), which is treated with sodium azide in DMSO, yielding the azido derivative (VII). The reduction of (VII) with H2 over Pd/C in ethanol affords 3-amino-2,4-difluorobenzoic acid methyl ester (VIII), which is hydrolyzed with NaOH in ethanol, giving the free acid (IX). The reaction of (IX) with NaNO2 and HBr yields 4-bromo-3-(difluoromethoxy)-2-fluorobenzoic acid (X), which is condensed with the magnesium salt of malonic acid monoethyl ester (XI) by means of CDI in THF, affording the 3-oxopropionate (XII). The reaction of (XII) with dimethylformamide dimethylacetal (XIII) and cyclopropylamine (XIV) by means of acetic anhydride in dichloromethane gives the 3-(cyclopropylamino)acrylate (XV), which is cyclized by means of K2CO3 in hot DMSO, yielding quinolone (XVI). The condensation of (XVI) with the isoindolylboronic acid derivative (XVII) - obtained by reaction of 5-bromo-1(R)-methyl-2-tritylisoindoline (XIX) with triisopropyl borate and butyllithium in THF - by means of bis(triphenylphosphine)palladium(II) chloride as catalyst in refluxing toluene affords the protected compound (XVIII), which is finally deprotected with HCl in ethanol.

合成路线图解说明:

The reaction of 2-(benzyloxycarbonyl)-5-bromo-1(R)-methylisoindoline (XX) with hexabutyldistannane and bis(triphenylphosphine)palladium(II) chloride in toluene gives the corresponding tributyltin derivative (XXI), which is condensed with the previously described quinolone (XVI) by means of the palladium catalyst as before, yielding the protected compound (XXII), which is deprotected by hydrolysis of the ester group with NaOH, followed by hydrogenolysis with H2 over Pd/C in acetic acid.

合成路线图解说明:

The chiral indolines (XIX) and (XX) have been obtained as follows: The condensation of racemic 5-bromo-2-methylindoline (XXIII) with N-(benzyloxycarbonyl)-L-phenylalanine (XXIV) by means of DIC and triethylamine in THF gives the diastereomeric mixture of indolines (XXV), which is separated by column chromatography, yielding the pure enantiomer (XXVI). The cleavage of (XXVI) with 6N HCl affords 5-bromo-1(R)-methylisoindoline (XXVII), which is treated with trityl chloride and triethylamine in dichloromethane to give indoline (XIX), or with benzyl chloroformate and triethylamine to give indoline (XX).

参考文献No.430223
标题:T-3811, a novel des-F(6)-quinolone: Synthesis and in vitro activity of 7-(isoindolin-5-yl) derivatives
作者:Yamada, M.; Takahata, M.; Ojima, K.; Todo, Y.; Kito, T.; Hayashi, H.; Watanabe, Y.; Narita, H.; Hamamoto, S.
来源:37th Intersci Conf Antimicrob Agents Chemother (Sept 28-Oct 1, Toronto) 1997,Abst F-158
合成路线图解说明:

The reaction of 2-(benzyloxycarbonyl)-5-bromo-1(R)-methylisoindoline (XX) with hexabutyldistannane and bis(triphenylphosphine)palladium(II) chloride in toluene gives the corresponding tributyltin derivative (XXI), which is condensed with the previously described quinolone (XVI) by means of the palladium catalyst as before, yielding the protected compound (XXII), which is deprotected by hydrolysis of the ester group with NaOH, followed by hydrogenolysis with H2 over Pd/C in acetic acid.

参考文献No.561767
标题:T-3811ME
作者:Casta馿r, J.; Rabasseda, X.; Graul, A.
来源:Drugs Fut 1999,24(12),1324
合成路线图解说明:

The methylation of 2,6-difluorophenol (I) with methyl iodide and K2CO3 in DMF gives 2,6-difluoroanisole (II), which by treatment with butyllithium and CO2 yields 2,4-difluoro-3-methoxybenzoic acid (III). The methylation of (III) with diazomethane in ether affords the methyl ester (IV), which by reaction with BBr3 in dichloromethane results in 2,4-difluoro-3-hydroxybenzoic acid methyl ester (V). The alkylation of (V) with chlorodifluoromethane and K2CO3 in DMF gives 3-(difluoromethoxy)-2,4-difluorobenzoic acid methyl ester (VI), which is treated with sodium azide in DMSO, yielding the azido derivative (VII). The reduction of (VII) with H2 over Pd/C in ethanol affords 3-amino-2,4-difluorobenzoic acid methyl ester (VIII), which is hydrolyzed with NaOH in ethanol, giving the free acid (IX). The reaction of (IX) with NaNO2 and HBr yields 4-bromo-3-(difluoromethoxy)-2-fluorobenzoic acid (X), which is condensed with the magnesium salt of malonic acid monoethyl ester (XI) by means of CDI in THF, affording the 3-oxopropionate (XII). The reaction of (XII) with dimethylformamide dimethylacetal (XIII) and cyclopropylamine (XIV) by means of acetic anhydride in dichloromethane gives the 3-(cyclopropylamino)acrylate (XV), which is cyclized by means of K2CO3 in hot DMSO, yielding quinolone (XVI). The condensation of (XVI) with the isoindolylboronic acid derivative (XVII) - obtained by reaction of 5-bromo-1(R)-methyl-2-tritylisoindoline (XIX) with triisopropyl borate and butyllithium in THF - by means of bis(triphenylphosphine)palladium(II) chloride as catalyst in refluxing toluene affords the protected compound (XVIII), which is finally deprotected with HCl in ethanol.

合成路线图解说明:

The reaction of 2-(benzyloxycarbonyl)-5-bromo-1(R)-methylisoindoline (XX) with hexabutyldistannane and bis(triphenylphosphine)palladium(II) chloride in toluene gives the corresponding tributyltin derivative (XXI), which is condensed with the previously described quinolone (XVI) by means of the palladium catalyst as before, yielding the protected compound (XXII), which is deprotected by hydrolysis of the ester group with NaOH, followed by hydrogenolysis with H2 over Pd/C in acetic acid.

合成路线图解说明:

The chiral indolines (XIX) and (XX) have been obtained as follows: The condensation of racemic 5-bromo-2-methylindoline (XXIII) with N-(benzyloxycarbonyl)-L-phenylalanine (XXIV) by means of DIC and triethylamine in THF gives the diastereomeric mixture of indolines (XXV), which is separated by column chromatography, yielding the pure enantiomer (XXVI). The cleavage of (XXVI) with 6N HCl affords 5-bromo-1(R)-methylisoindoline (XXVII), which is treated with trityl chloride and triethylamine in dichloromethane to give indoline (XIX), or with benzyl chloroformate and triethylamine to give indoline (XX).

参考文献No.711461
标题:Synthesis, antibacterial activity, and toxicity of 7-(isoindolin-5-yl)-4-oxoquinoline-3-carboxylic acids. Discovery of the novel des-F(6)-quinolone antibacterial agent garenoxacin (T-3811 or BMS-284756)
作者:Hayashi, K.; Takahata, M.; Kawamura, Y.; Todo, Y.
来源:Arzneim-Forsch Drug Res 2002,52(12),903
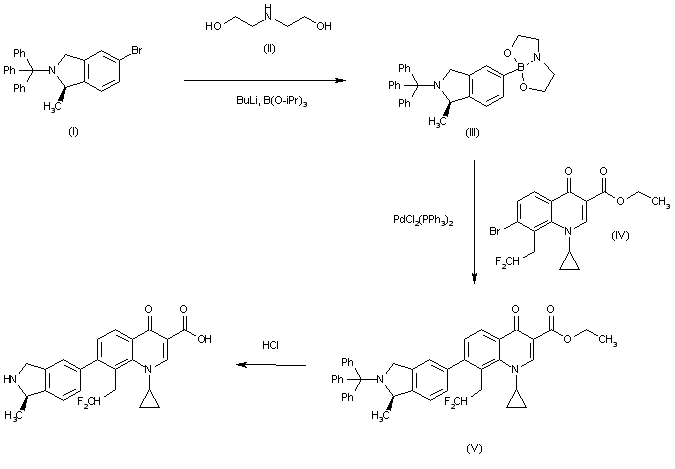
合成路线图解说明:

The reaction of 5-bromo-1(R)-methyl-2-(triphenylmethyl)-2,3-dihydro-1H-isoindole (I) with; BuLi, triisopropyl borate and diethanolamine (II) gives the boronic ester (III), which is condensed with 1-cyclopropyl-7-bromo-8-(difluoromethoxy)-4-oxo-1,4-dihydroquinoline-3-carboxylic acid ethyl ester (IV) by means of PdCl2(PPh3)2 to yield the precursor (V). Finally, this compound is deprotected by a treatment with HCl in ethanol/water to provide the target Garenoxacin.

Drug Information Express,Drug R&D,Chemical Database,Patent Search.
Copyright © 2006-2026 Drug Future. All rights reserved.Contact Us