【药物名称】GW-5950X
化学结构式(Chemical Structure):
参考文献No.33894
标题:Aspartyl protease inhibitors
作者:Tung, R.D.; Salituro, F.G.; Deininger, D.D.; Bhisetti, G.R.; Baker, C.T.; Spaltenstein, A.; Kazmierski, W.M.; Andrews, C.W. III (Vertex Pharmaceuticals Inc.)
来源:JP 2000501111; US 5945413; WO 9727180
合成路线图解说明:

Wittig reaction of N-(benzyloxycarbonyl)-L-phenylalaninal (I) with methyl (triphenylphosphoranylidene)acetate produced unsaturated ester (II). Double bond reduction in (II) with concomitant cyclization and N-deprotection upon treatment with Mg in MeOH furnished (R)-5-benzyl-2-pyrrolidinone (III), which was further protected as the N-Boc derivative (IV) (1). Alkylation of (IV) with benzyl bromide in the presence of LDA in THF at -78 C provided the trans-3,5-dimethylpyrrolidinone (V) as the predominant diastereoisomer. After Boc group cleavage using trifluoroacetic acid, pyrrolidinone (VI) was coupled with epoxide (VII) yielding adduct (VIII). The acetonide protecting group of (VIII) was finally hydrolyzed with HCl to give the title compound.

参考文献No.248904
标题:Highly diastereoselective reaction of a chiral, non-racemic amide enolate with (S)-glycidyl tosylate. Synthesis of the orally active HIV-1 protease inhibitor L-735,524
作者:Askin, D.; Eng, K.K.; Rossen, K.; Purick, R.M.; Wells, K.M.; Volante, R.P.; Reider, P.J.
来源:Tetrahedron Lett 1994,35(5),673-6
合成路线图解说明:

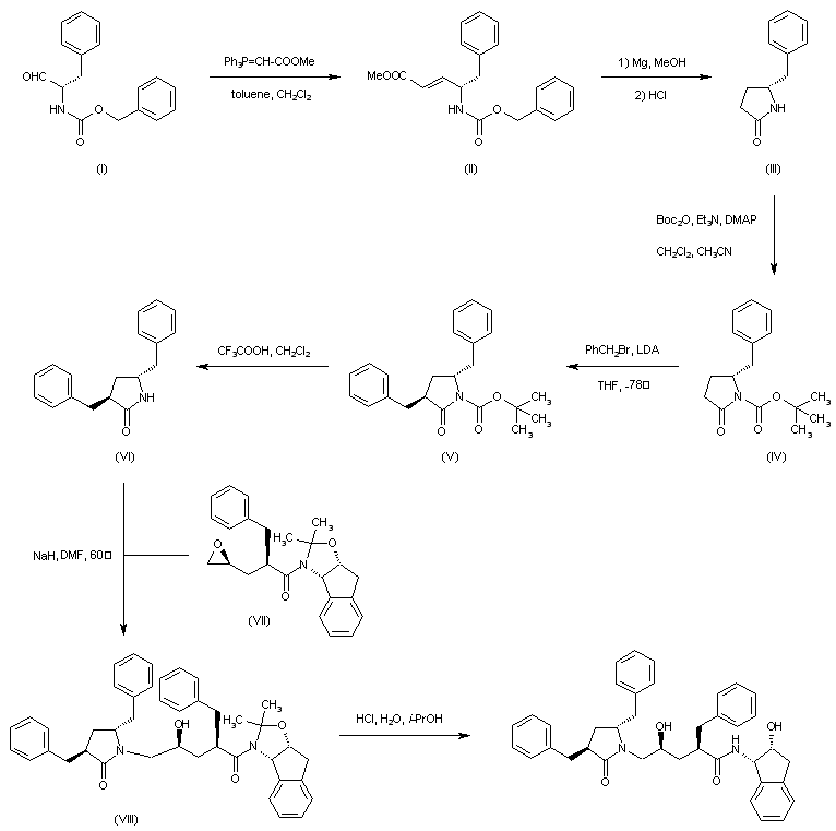
1) The reaction of cis-(1S,2R)-indanediol (I) with acetonitrile and concentrated H2SO4 gives cis-(1S,2R)-1-aminoindan-2-ol (II), which is cyclocondensed with 3-phenylpropionyl chloride (III), isopropenyl methyl ether and triethylamine to yield the acetonide amide (IV). The condensation of amide (IV) with (S)-(+)-glycidyl p-toluenesulfonate (V) in the presence of lithium hexamethyldisylazide (LHS) affords the chiral epoxide (VI), which is condensed with 4-(tert-butoxycarbonyl)-N-tert-butylpiperazine-2(S)-carboxamide (VII) in refluxing isopropyl acetate and deprotected with aqueous HCl to give the dihydroxy-diamide (VIII). Finally, this compound is condensed with 3-(chloromethyl)pyridine (IX) by means of triethylamine in DMF. 2) The amide (IV) can also be alkylated with allyl bromide and butyllithium to the pentenyl amide (X), which is diastereoselectively converted to the chiral iodohydrine (XI) by means of N-iodosuccinimide (NIS). Finally, this compound is cyclized in basic medium, yielding the epoxide (VI), already obtained.

合成路线图解说明:

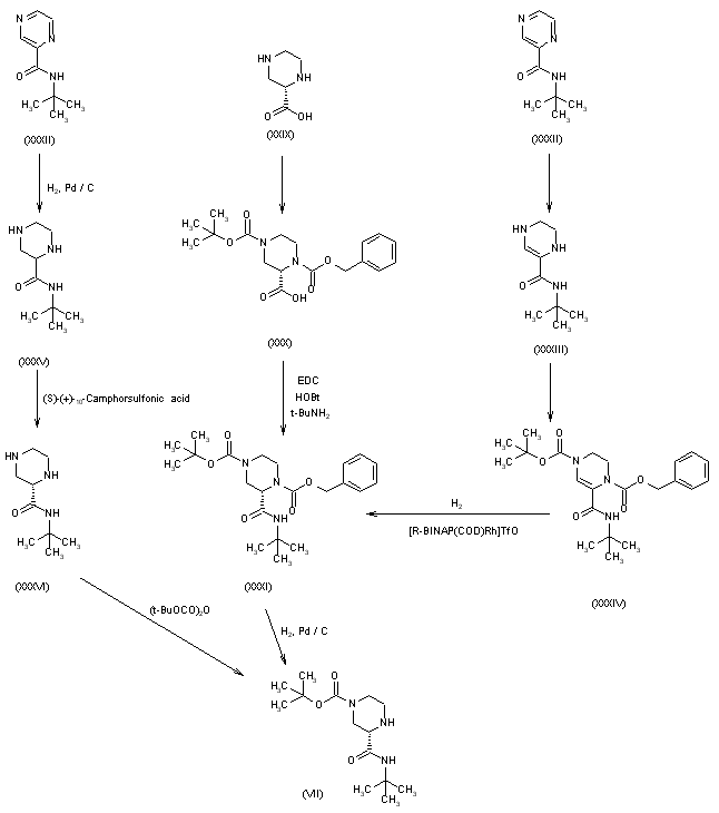
6) The chiral piperazine (VII) can be obtained by several different ways: 6a) The sequential protection of piperazine-2(S)-carboxylic acid (XXIX) gives 1-(benzyloxycarbonyl)-4-(tert-butoxycarbonyl)piperazine-2(S)-carboxylic acid (XXX), which is condensed with tert-butylamine by means of EDC and HOBt to afford the tert-butylamide (XXXI). Finally, this compound is selectively deprotected by hydrogenation with H2 over Pd/C in methanol, yielding the chiral piperazine (VII). 6b) The partial hydrogenation of N-tert-butylpyrazine-2-carboxamide (XXXII) with H2 over Pd/C gives the tetrahydro derivative (XXXIII), which is sequentially protected as usual to the 1-(benzyloxycarbonyl)-4-(tert-butoxycarbonyl)-1,4,5,6-tetrahydropyrazin e -2-carboxamide (XXXIV). Finally, this compound is hydrogenated using the chiral catalyst [R-BINAP(COD)Rh]OTf to afford the chiral piperazine (XXXI), already obtained. 6c) The N-tert-butylpyrazine-2-carboxamide (XXXII) is fully reduced with H2 over Pd/C in propanol, giving the racemic N-tert-butylpiperazine-2-carboxamide (XXXV), which is submitted to optical resolution with (S)-(+)-camphosulfonic acid, yielding the (S)-isomer (XXXVI), which is then selectively protected with tert-butoxycarbonyl anhydride to give the desired chiral amide (VII).

合成路线图解说明:

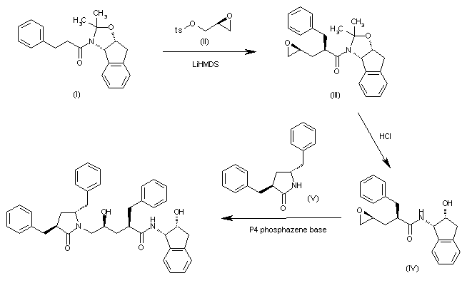
The condensation of indeno[1,2-d]oxazole derivative (I) with (S)-(+)-glycidyl tosylate (II) by means of LiHMDS gives the adduct (III), which is deprotected with HCl to yield the epoxide (IV). Finally, this compound is condensed with the dibenzylpyrrolidone (V) by means of P4 phosphazene base (commercially available) in THF to afford the target amide.

参考文献No.573137
标题:Heterocyclic isosteres of the P1/P2 domain of amprenavir: Discovery of novel, picomolar HIV-1 protease inhibitors
作者:Kazmierski, W.; Andrews, W. III; Baker, C.; et al.
来源:219th ACS Natl Meet (March 26 2000, San Francisco) 2000,Abst MEDI 126
合成路线图解说明:

Wittig reaction of N-(benzyloxycarbonyl)-L-phenylalaninal (I) with methyl (triphenylphosphoranylidene)acetate produced unsaturated ester (II). Double bond reduction in (II) with concomitant cyclization and N-deprotection upon treatment with Mg in MeOH furnished (R)-5-benzyl-2-pyrrolidinone (III), which was further protected as the N-Boc derivative (IV) (1). Alkylation of (IV) with benzyl bromide in the presence of LDA in THF at -78 C provided the trans-3,5-dimethylpyrrolidinone (V) as the predominant diastereoisomer. After Boc group cleavage using trifluoroacetic acid, pyrrolidinone (VI) was coupled with epoxide (VII) yielding adduct (VIII). The acetonide protecting group of (VIII) was finally hydrolyzed with HCl to give the title compound.

参考文献No.583327
标题:Novel inhibitors of HIV protease: Design, synthesis and biological evaluation of picomolar inhibitors containing cyclic P1/P2 scaffolds
作者:Spaltenstein, A.; Almond, M.R.; Bock, W.J.; Cleary, D.G.; Furfine, E.S.; Hazen, R.J.; Kazmierski, W.M.; Salituro, F.G.; Tung, R.D.; Wright, L.L.
来源:Bioorg Med Chem Lett 2000,10(11),1159
合成路线图解说明:

The condensation of indeno[1,2-d]oxazole derivative (I) with (S)-(+)-glycidyl tosylate (II) by means of LiHMDS gives the adduct (III), which is deprotected with HCl to yield the epoxide (IV). Finally, this compound is condensed with the dibenzylpyrrolidone (V) by means of P4 phosphazene base (commercially available) in THF to afford the target amide.

Drug Information Express,Drug R&D,Chemical Database,Patent Search.
Copyright © 2006-2026 Drug Future. All rights reserved.Contact Us