【药物名称】Valomaciclovir stearate, RP-606, ABT-606, A-174606.0, MIV-606
化学结构式(Chemical Structure):
参考文献No.34078
标题:Acyclic nucleoside derivs.
作者:Engelhardt, P.; H鯾erg, M.; Zhou, X.-X.; Lindborg, B.; Johansson, N.G. (Medivir AB)
来源:EP 0888348; JP 2000504720; JP 2000504721; US 5869493; WO 9730051; WO 9730052
合成路线图解说明:

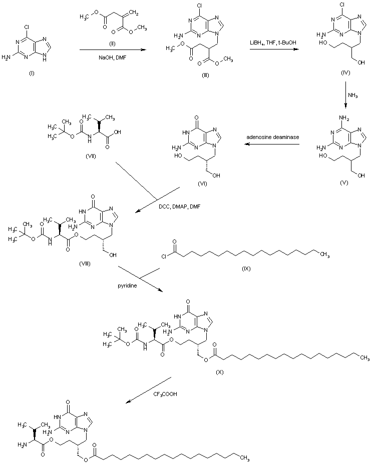
The precursor (R)-9-[4-hydroxy-2-(hydroxymethyl)]guanine (VI) was prepared by conjugate addition of dimethyl itaconate (II) to 2-amino-6-chloropurine (I), followed by reduction of the resultant diester (III) with LiBH4 to yield (IV). Subsequent displacement of the 6-chloro group of (IV) with ammonia under pressure furnished the racemic 2,6-diaminopurine (V). Then, enantioselective deamination of (V) in the presence of adenosine deaminase provided the target (R)-guanine derivative (VI). Esterification of the 4-hydroxy group of (VI) with N-Boc-L-valine (VII) by means of DCC gave the valine ester (VIII). The remaining free hydroxyl group of (VIII) was further esterified with stearoyl chloride (IX) in pyridine, yielding stearate (X). Finally, acid-promoted N-Boc group cleavage in (IX) furnished the title compound.

合成路线图解说明:

A related method was based in the acylation of the diol precursor (VI) with the p-nitrophenyl ester of N-Cbz-L-valine (XI) to afford the valyl ester (XII), which was further esterified with stearoyl chloride (IX). The resultant N-Cbz diester (XIII) was finally deprotected by hydrogenolysis over Pd/C.

合成路线图解说明:

In an alternative method, (R)-9-[4-hydroxy-2-(hydroxymethyl)]guanine (VI) was selectively silylated at the 4-hydroxyl by means of tert-butyldiphenylsilyl chloride. The resultant mono-silylated compound (XIV) was acylated with stearoyl chloride (IX), producing stearate ester (XV). Desilylation of (XV) with tetrabutylammonium fluoride, followed by coupling with either N-Boc-L-valine (VII) or N-Cbz-L-valine (XVI), furnished the respective N-protected valyl esters (X) and (XIII). The title compound was then obtained by N-deprotection of (X) and (XIII) under acidic conditions or by catalytic hydrogenation, respectively.

合成路线图解说明:

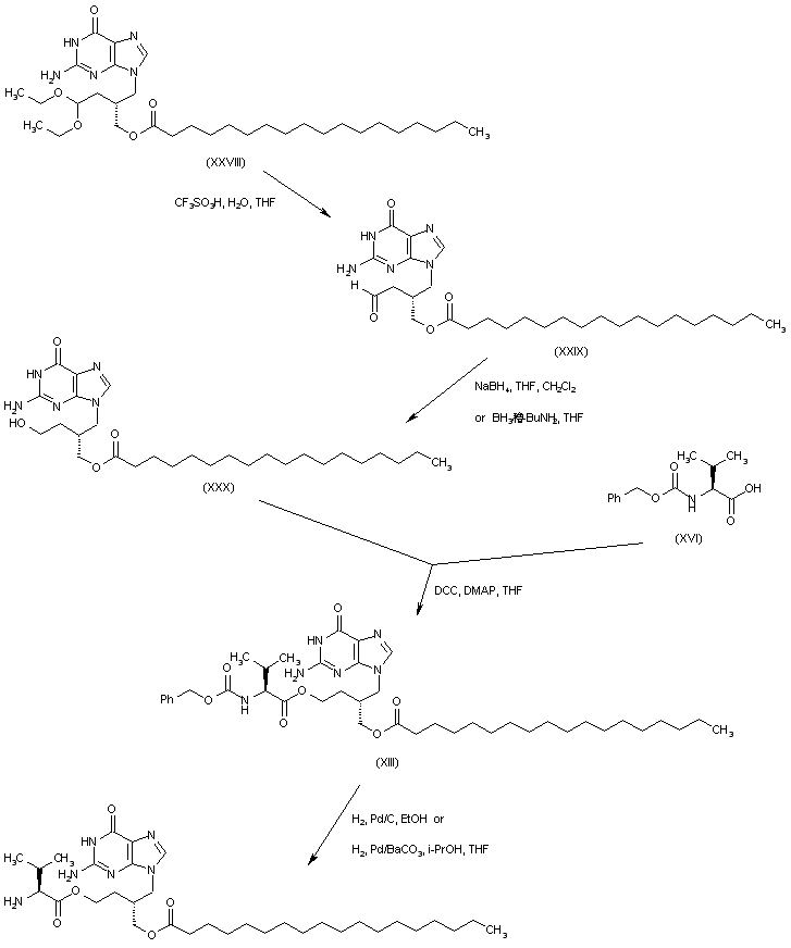
In a different protection strategy, (diethoxyethyl)malonate (XIX) was obtained by alkylation of diethyl malonate (XVII) with bromoacetaldehyde diethyl acetal (XVIII). Reduction of the ester groups of (XIX) with LiBH4 provided diol (XX). The asymmetric mono-acetate ester (XXI) was generated by enantioselective acylation of the prochiral diol (XX) with vinyl acetate in the presence of lipase PS 30. Reaction of the free hydroxyl of (XXI) with p-toluenesulfonyl chloride afforded tosylate (XXII), which was subsequently condensed with 2-amino-6-chloropurine (I), yielding adduct (XXIII). Conversion of the chloropurine ring of (XXIII) to the target guanine derivative (XXV) was achieved by displacement of the chloro group with benzyl alcohol, with concomitant acetate ester hydrolysis, followed by hydrogenolytic cleavage of the resultant benzyl ether (XXIV). Alternatively, initial acetate ester hydrolysis in (XXIII) gave alcohol (XXVI), which was further subjected to chloro group hydrolysis in the presence of either KOH or tertiary amines to yield (XXV). Conversion of alcohol (XXV) to the target stearate ester (XXVIII) was achieved by treatment with stearoyl chloride (IX) or with the mixed anhydride of stearic acid (XXVII) with pivaloyl chloride or with tosyl chloride.

合成路线图解说明:

Acid hydrolysis of diethyl acetal (XXVIII) gave aldehyde (XXIX). Reduction of this to the corresponding alcohol (XXX) was carried out by using either NaBH4 or borane-tert-butylamine complex. Alcohol (XXX) was then coupled to the N-Cbz-valine anhydride, prepared from N-Cbz-valine (XVI) and DCC, to produce (XIII), which was finally deprotected by catalytic hydrogenation as above.

参考文献No.55539
标题:Synthesis of acyclic nucleoside derivs.
作者:Hannick, S.M.; Leanna, M.R.; Patel, R.R.; Kolaczkowski, L.; Tien, J.-H.J.; Zhang, W.; Riley, D.A.; Morton, H.; Rasmussen, M.; Bhagavatula, L.; Singam, P.R.; Gates, B.D.; Wayne, G.; Lannoye, G.; Tian, Z.; Lukin, K.L.; et al. (Abbott Laboratories Inc.)
来源:WO 9834917
合成路线图解说明:

The precursor (R)-9-[4-hydroxy-2-(hydroxymethyl)]guanine (VI) was prepared by conjugate addition of dimethyl itaconate (II) to 2-amino-6-chloropurine (I), followed by reduction of the resultant diester (III) with LiBH4 to yield (IV). Subsequent displacement of the 6-chloro group of (IV) with ammonia under pressure furnished the racemic 2,6-diaminopurine (V). Then, enantioselective deamination of (V) in the presence of adenosine deaminase provided the target (R)-guanine derivative (VI). Esterification of the 4-hydroxy group of (VI) with N-Boc-L-valine (VII) by means of DCC gave the valine ester (VIII). The remaining free hydroxyl group of (VIII) was further esterified with stearoyl chloride (IX) in pyridine, yielding stearate (X). Finally, acid-promoted N-Boc group cleavage in (IX) furnished the title compound.

合成路线图解说明:

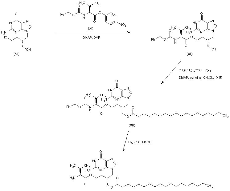
A related method was based in the acylation of the diol precursor (VI) with the p-nitrophenyl ester of N-Cbz-L-valine (XI) to afford the valyl ester (XII), which was further esterified with stearoyl chloride (IX). The resultant N-Cbz diester (XIII) was finally deprotected by hydrogenolysis over Pd/C.

合成路线图解说明:

In an alternative method, (R)-9-[4-hydroxy-2-(hydroxymethyl)]guanine (VI) was selectively silylated at the 4-hydroxyl by means of tert-butyldiphenylsilyl chloride. The resultant mono-silylated compound (XIV) was acylated with stearoyl chloride (IX), producing stearate ester (XV). Desilylation of (XV) with tetrabutylammonium fluoride, followed by coupling with either N-Boc-L-valine (VII) or N-Cbz-L-valine (XVI), furnished the respective N-protected valyl esters (X) and (XIII). The title compound was then obtained by N-deprotection of (X) and (XIII) under acidic conditions or by catalytic hydrogenation, respectively.

合成路线图解说明:

In a different protection strategy, (diethoxyethyl)malonate (XIX) was obtained by alkylation of diethyl malonate (XVII) with bromoacetaldehyde diethyl acetal (XVIII). Reduction of the ester groups of (XIX) with LiBH4 provided diol (XX). The asymmetric mono-acetate ester (XXI) was generated by enantioselective acylation of the prochiral diol (XX) with vinyl acetate in the presence of lipase PS 30. Reaction of the free hydroxyl of (XXI) with p-toluenesulfonyl chloride afforded tosylate (XXII), which was subsequently condensed with 2-amino-6-chloropurine (I), yielding adduct (XXIII). Conversion of the chloropurine ring of (XXIII) to the target guanine derivative (XXV) was achieved by displacement of the chloro group with benzyl alcohol, with concomitant acetate ester hydrolysis, followed by hydrogenolytic cleavage of the resultant benzyl ether (XXIV). Alternatively, initial acetate ester hydrolysis in (XXIII) gave alcohol (XXVI), which was further subjected to chloro group hydrolysis in the presence of either KOH or tertiary amines to yield (XXV). Conversion of alcohol (XXV) to the target stearate ester (XXVIII) was achieved by treatment with stearoyl chloride (IX) or with the mixed anhydride of stearic acid (XXVII) with pivaloyl chloride or with tosyl chloride.

合成路线图解说明:

Acid hydrolysis of diethyl acetal (XXVIII) gave aldehyde (XXIX). Reduction of this to the corresponding alcohol (XXX) was carried out by using either NaBH4 or borane-tert-butylamine complex. Alcohol (XXX) was then coupled to the N-Cbz-valine anhydride, prepared from N-Cbz-valine (XVI) and DCC, to produce (XIII), which was finally deprotected by catalytic hydrogenation as above.

合成路线图解说明:

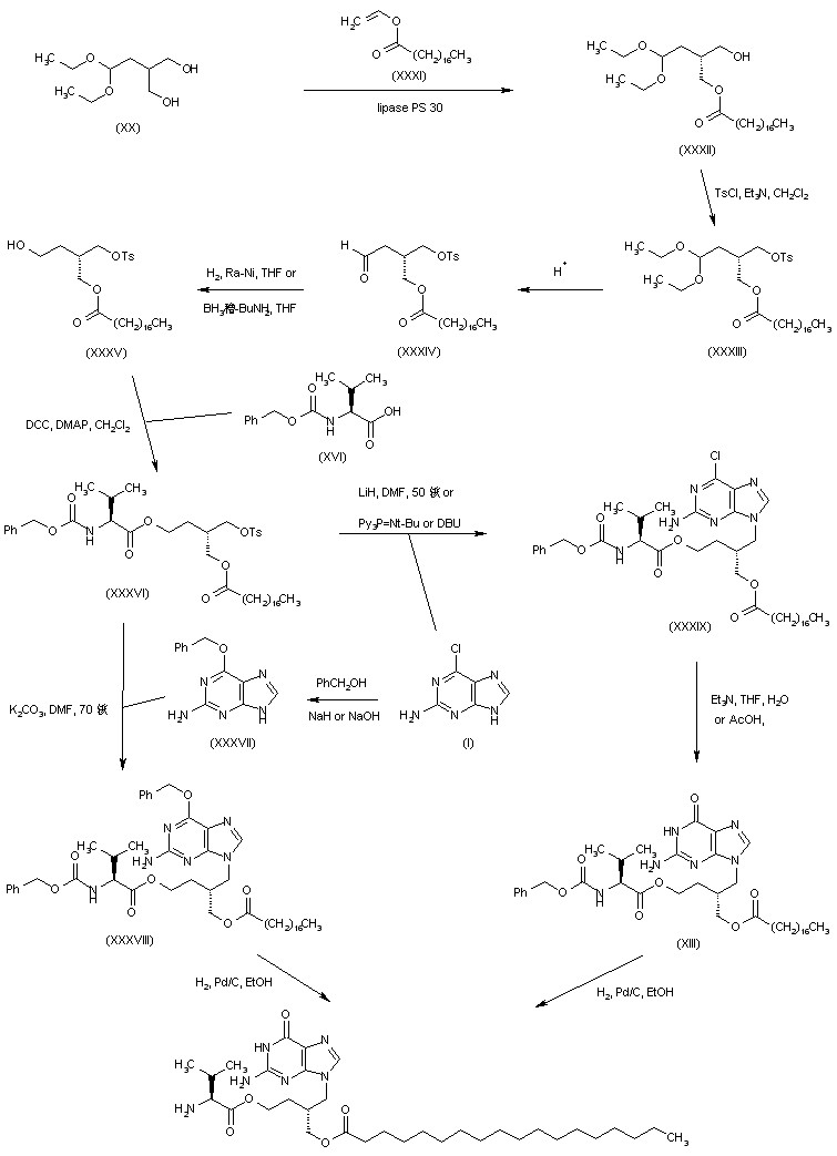
In a further procedure, the prochiral diol (XX) was converted to the asymmetric mono-stearate ester (XXXII) employing vinyl stearate (XXXI) and lipase PS 30. After tosylation of alcohol (XXXII), the resulting diethoxy acetal (XXXIII) was hydrolyzed to aldehyde (XXXIV) employing different acidic catalysts. Reduction of aldehyde (XXXIV) to the corresponding alcohol (XXXV) was effected by means of catalytic hydrogenation over Ra-Ni or borane-tert-butylamine complex. Alcohol (XXXV) was further condensed with N-Cbz-L-valine (XVI), producing the diester tosylate (XXXVI). The analogous N-Boc- and N-Alloc-protected valine esters were similarly prepared. 6-Benzyloxy-2-aminopurine (XXXVII) was prepared by treatment of chloropurine (I) with benzyl alcohol and NaH or NaOH. Alkylation of purine (XXXVII) with tosylate (XXXVI) furnished adduct (XXXVIII), which was finally deprotected by catalytic hydrogenation. Optionally, tosylate (XXXVI) was condensed with chloropurine (I) to give (XXXIX). Hydrolysis of the chloropurine ring of (XXXIX) to the guanine derivative (XIII) employing either Et3N or HOAc, followed by catalytic hydrogenation as above, provided an alternative access to the title compound.

参考文献No.55540
标题:Synthesis of acyclic nucleoside derivs.
作者:Hannick, S.M.; Leanna, M.R.; Patel, R.R.; Kolaczkowski, L.; Zhang, W.; Riley, D.A.; Morton, H.; Rasmussen, M.; Bhagavatula, L.; Singam, P.R.; Gates, B.D.; Wayne, G.; Lannoye, G.; Chang, S.-J.; et al. (Medivir AB)
来源:WO 0008025
合成路线图解说明:

In a different protection strategy, (diethoxyethyl)malonate (XIX) was obtained by alkylation of diethyl malonate (XVII) with bromoacetaldehyde diethyl acetal (XVIII). Reduction of the ester groups of (XIX) with LiBH4 provided diol (XX). The asymmetric mono-acetate ester (XXI) was generated by enantioselective acylation of the prochiral diol (XX) with vinyl acetate in the presence of lipase PS 30. Reaction of the free hydroxyl of (XXI) with p-toluenesulfonyl chloride afforded tosylate (XXII), which was subsequently condensed with 2-amino-6-chloropurine (I), yielding adduct (XXIII). Conversion of the chloropurine ring of (XXIII) to the target guanine derivative (XXV) was achieved by displacement of the chloro group with benzyl alcohol, with concomitant acetate ester hydrolysis, followed by hydrogenolytic cleavage of the resultant benzyl ether (XXIV). Alternatively, initial acetate ester hydrolysis in (XXIII) gave alcohol (XXVI), which was further subjected to chloro group hydrolysis in the presence of either KOH or tertiary amines to yield (XXV). Conversion of alcohol (XXV) to the target stearate ester (XXVIII) was achieved by treatment with stearoyl chloride (IX) or with the mixed anhydride of stearic acid (XXVII) with pivaloyl chloride or with tosyl chloride.

合成路线图解说明:

Acid hydrolysis of diethyl acetal (XXVIII) gave aldehyde (XXIX). Reduction of this to the corresponding alcohol (XXX) was carried out by using either NaBH4 or borane-tert-butylamine complex. Alcohol (XXX) was then coupled to the N-Cbz-valine anhydride, prepared from N-Cbz-valine (XVI) and DCC, to produce (XIII), which was finally deprotected by catalytic hydrogenation as above.

合成路线图解说明:

In a further procedure, the prochiral diol (XX) was converted to the asymmetric mono-stearate ester (XXXII) employing vinyl stearate (XXXI) and lipase PS 30. After tosylation of alcohol (XXXII), the resulting diethoxy acetal (XXXIII) was hydrolyzed to aldehyde (XXXIV) employing different acidic catalysts. Reduction of aldehyde (XXXIV) to the corresponding alcohol (XXXV) was effected by means of catalytic hydrogenation over Ra-Ni or borane-tert-butylamine complex. Alcohol (XXXV) was further condensed with N-Cbz-L-valine (XVI), producing the diester tosylate (XXXVI). The analogous N-Boc- and N-Alloc-protected valine esters were similarly prepared. 6-Benzyloxy-2-aminopurine (XXXVII) was prepared by treatment of chloropurine (I) with benzyl alcohol and NaH or NaOH. Alkylation of purine (XXXVII) with tosylate (XXXVI) furnished adduct (XXXVIII), which was finally deprotected by catalytic hydrogenation. Optionally, tosylate (XXXVI) was condensed with chloropurine (I) to give (XXXIX). Hydrolysis of the chloropurine ring of (XXXIX) to the guanine derivative (XIII) employing either Et3N or HOAc, followed by catalytic hydrogenation as above, provided an alternative access to the title compound.

合成路线图解说明:

A related strategy required previous conversion of chloropurine (I) to the iodopurine (XL), which was effected by means of HI. Alkylation of purine (XL) with tosylate (XXXVI) provided (XLI), which was hydrolyzed to the guanine (XIII) using NaOAc/HOAc.

合成路线图解说明:

Yet another method was based on the alkylation of 2-N-acetyl-6-O-diphenylcarbamoylguanine (XLII) with tosylate (XXII) to give (XLIII). This was hydrolyzed to the precursor (XXV) by treatment with KOH.

Drug Information Express,Drug R&D,Chemical Database,Patent Search.
Copyright © 2006-2026 Drug Future. All rights reserved.Contact Us