【药物名称】
化学结构式(Chemical Structure):
参考文献No.546065
标题:Discovery of 1,6-naphthyridines as a novel class of potent and selective human cytomegalovirus inhibitors
作者:Chan, L.; Jin, H.; Stefanac, T.; Lavall閑, J.F.; Falardeau, G.; Wang, W.; B閐ard, J.; May, S.; Yuen, L.
来源:J Med Chem 1999,42(16),3023
合成路线图解说明:

The condensation of 1,6-naphthyridine-2-carboxylic acid (I) with 2-isopropoxybenzylamine (II) by means of EDC and HOBT in DMF yields the target compound.

合成路线图解说明:

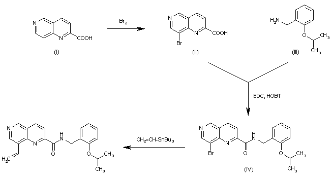
The bromination of 1,6-naphthyridine-2-carboxylic acid (I) with Br2 in acetic acid gives the 8-bromo derivative (II), which is condensed with 2-isopropoxybenzylamine (III) by means of EDC and HOBT in DMF yielding the corresponding amide (IV). Finally, this compound is vinylated with CH2 = CH-SnBu3 and PdCl2(PPh3)2 in DMF.

合成路线图解说明:

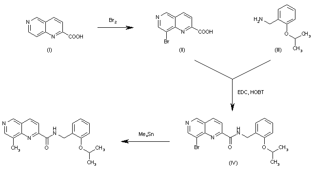
The bromination of 1,6-naphthyridine-2-carboxylic acid (I) with Br2 in acetic acid gives the 8-bromo derivative (II), which is condensed with 2-isopropoxybenzylamine (III) by means of EDC and HOBT in DMF yielding the corresponding amide (IV). Finally, this compound is methylated with Sn(CH3)4 and PdCl2(PPh3)2 in DMF.

Drug Information Express,Drug R&D,Chemical Database,Patent Search.
Copyright © 2006-2026 Drug Future. All rights reserved.Contact Us