【药物名称】PD-178392
化学结构式(Chemical Structure):
参考文献No.569166
标题:5,6-Dihydropyran-2-ones possessing various sulfonyl functionalities: Potent nonpeptidic inhibitors of HIV protease
作者:Boyer, F.E.; Vara Prasad, J.V.; Domagala, J.M.; Ellsworth, E.L.; Gajda, C.; Hagen, S.E.; Markoski, L.J.; Tait, B.D.; Lunney, E.A.; Palovsky, A.; Ferguson, D.; Graham, N.; Holler, T.; Hupe, D.; Nouhan, C.; Tummino, P.J.; Urumov, A.; Zeikus, E.; et al.
来源:J Med Chem 2000,43(5),843
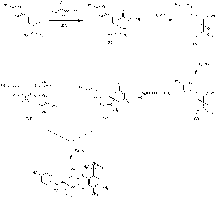
合成路线图解说明:

The condensation of 5-(4-hydroxyphenyl)-2-methyl-3-pentanone (I) with benzyl acetate (II) by means of LDA in THF gives 3-hydroxy-5-(4-hydroxyphenyl)-3-isopropylpentanoic acid benzyl ester (III), which is treated with H2 over Pd/C in methanol to yield the corresponding free acid (IV) as a racemic mixture. Optical resolution of (IV) with (S)-alpha-methylbenzylamine ((S)-MBA) affords the (S)-isomer (V), which is cyclized with the magnesium salt of the monoethyl malonate by means of CDI in THF giving 4-hydroxy-6(S)-[2-(4-hydroxyphenyl)ethyl]-6-isopropyl-5,6-dihydro-2H-pyran-2-one (VI). Finally, this compound is condensed with toluene-4-thiosulfonic acid S-(4-amino-2-tert-butyl-5-methylphenyl) ester (VII) by means of K2CO3 in DMF.

合成路线图解说明:

The intermediate toluene-4-thiosulfonic acid S-(4-amino-2-tert-butyl-5-methylphenyl) ester (VII) has been obtained as follows: the reduction of 5-tert-butyl-2-methylnitrobenzene (VIII) with H2 over RaNi in methanol gives the corresponding aniline (IX), which is treated with sodium thiocyanate and Br2 in methanol to afford 5-tert-butyl-2-methyl-4-thiocyanatoaniline (X). The reaction of (X) with tert-butoxycarbonyl anhydride (Boc2O) in THF gives the imidodicarbonic ester (XI), which is treated with dithiothreitol in ethanol/water to yield the bis sulfanyl compound (XII). The sulfonation of (XII) with tosyl bromide and triethylamine in CCl4 affords the bis toluene-4-thiosulfonate (XIII), which is finally deprotected with HCl in dichloromethane to provide the target intermediate (VII).

Drug Information Express,Drug R&D,Chemical Database,Patent Search.
Copyright © 2006-2026 Drug Future. All rights reserved.Contact Us