【药物名称】PNU-109230
化学结构式(Chemical Structure):
参考文献No.431487
标题:Synthesis and biological activity of N-acetyl modified analogs of oxazolidinone anticancer agents linezolid and eperezolid
作者:Ulanowicz, D.A.; et al.
来源:37th Intersci Conf Antimicrob Agents Chemother (Sept 28-Oct 1, Toronto) 1997,Abst F-21
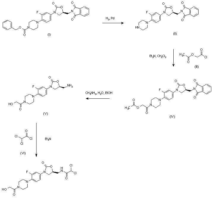
合成路线图解说明:

Hydrogenolysis of PNU-100542 (I) removed the benzyloxycarbonyl group and afforded secondary amine (II), which was acylated with (acetoxy)acetyl chloride (III) in the presence of triethylamine to provide amide PNU-142581 (IV). Then, acetate and phthaloyl protecting groups were both removed on treatment with an hydroalcoholic solution of methylamine, and the resulting aminoalcohol PNU-141718 (V) was N-acylated with dichloroacetyl chloride (VI) to yield the desired amide PNU-109230.

Drug Information Express,Drug R&D,Chemical Database,Patent Search.
Copyright © 2006-2026 Drug Future. All rights reserved.Contact Us