【药物名称】Ximelagatran, H-376/95, Exanta
化学结构式(Chemical Structure):
参考文献No.33765
标题:Prodrugs of thrombin inhibitors
作者:Antonsson, T.; Gustafsson, D.; Hoffmann, K.-J.; Nystr鰉, J.-E.; S鰎ensen, H.; Sell閚, M. (AstraZeneca plc)
来源:EP 0995755; JP 2000504313; JP 2001089498; US 5965692; US 6262028; WO 9723499
合成路线图解说明:

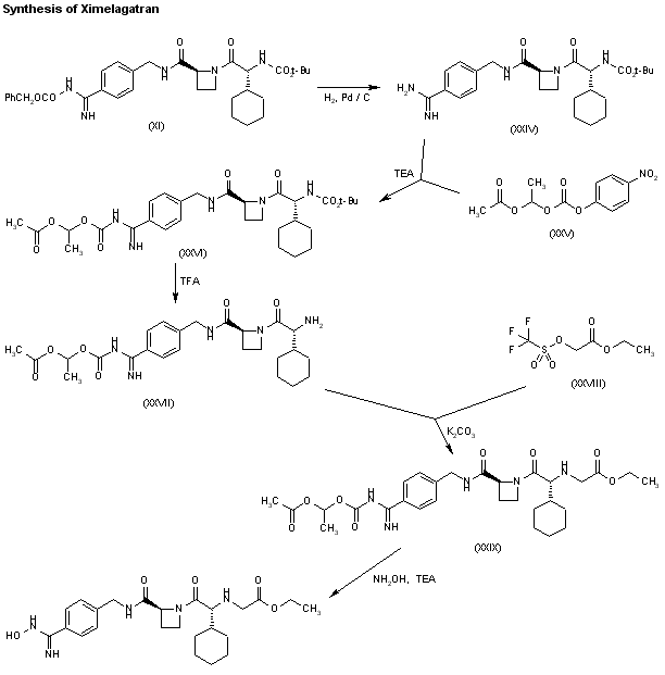
Removal of the benzyl-protecting group of compound (XI) by hydrogenation over Pd/C in EtOH/H2O provides the benzamidine derivative (XXIV), which by reaction with 1-(acetoxyethyl)-4-nitrophenylcarbonate (XXV) by means of TEA in dichloromethane provides the N-protected benzamidine derivative (XXVI). Treatment of (XXVI) with trifluoroacetic acid in the same solvent allows elimination of the Boc group to yield compound (XXVII), which by condensation with 2-(trifluoromethanesulfonyloxy)acetic acid ethyl ester (XXVIII) in the presence of K2CO3 in the same solvent affords the ximelagatran precursor (XXIX). Finally, compound (XXIX) is treated with hydroxylamine and TEA in ethanol in order to deprotect and to oxidize the amidino group, yielding ximelagatran.

参考文献No.649378
标题:Melagatran and Ximelagatran
作者:Bay鑣, M.; Silvestre, J.S.; Sorbera, L.A.; Casta馿r, J.
来源:Drugs Fut 2001,26(12),1155
合成路线图解说明:

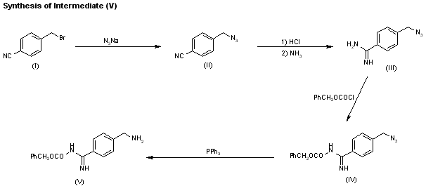
The reaction of 4-cyanobenzyl bromide (I) with NaN3 in DMF gives 4-cyanobenzyl azide (II), which is treated first with HCl and then with ammonia to yield 4-(azidomethyl)benzamidine (III). Protection of the amidino group of (III) with benzyl chloroformate affords the protected compound (IV), which is finally reduced at the azido group with PPh3 in THF to provide 4-(benzyloxycarbonylamidino)benzylamine (V).

合成路线图解说明:

Reduction of the phenyl ring of N-(tert-butoxycarbonyl)-(R)-phenylglycine (VI) with H2 over Rh/Al2O3 in methanol gives the protected (R)-cyclohexylglycine (VII), which is condensed with azetidine (VIII) by means of EDC in acetonitrile to yield the dipeptide (IX). Hydrolysis of the ester group of (IX) affords the carboxylic acid (X), which is condensed with the amino group of the previous intermediate (V) by means of EDC and DMAP in acetonitrile or ethyl acetate/acetonitrile to provide adduct (XI). Cleavage of the Boc-protecting group of (XI) with HCl or methanesulfonic acid gives (XII) with a terminal amino group that is condensed with benzyl 2-(2-nitrophenylsulfonyloxy)acetate (XIII) or benzyl 2-bromoacetate (XIV) by means of K2CO3 in the same solvent to yield the melagatran precursor (XV). Finally, this compound is deprotected by hydrogenation with H2 over Pd/C in methanol.

合成路线图解说明:

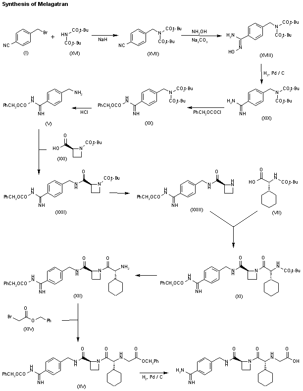
Reaction of 4-cyanobenzyl bromide (I) with bis(tert-butoxycarbonyl)imine (XVI) by means of NaH in THF gives the protected benzylamine (XVII), which is treated with hydroxylamine and Na2CO3 in ethanol/water to yield the N-hydroxybenzamidine (XVIII). Reduction of compound (XVIII) with H2 over Pd/C in HOAc/Ac2O affords the protected benzamidine (XIX), which is treated with benzyl chloroformate and NaOH in THF in order to obtain the fully protected compound (XX). Selective deprotection of (XX) with HCl gives 4-(benzyloxycarbonylamidino)benzylamine (V), which is condensed with the protected azetidine-2-carboxylic acid (XXI) to afford the corresponding amide (XXII). Boc-deprotection of (XXII) provides azetidine (XXIII), which is condensed with N-Boc-(R)-cyclohexylglycine (VII) to give the protected dipeptide (XI). Boc-deprotection of (XI) affords intermediate (XII), which is condensed with benzyl 2-bromoacetate (XIV) to give the melagatran precursor (XV). Finally, this compound is debenzylated by hydrogenation with H2 over Pd/C as before.

合成路线图解说明:

Removal of the benzyl-protecting group of compound (XI) by hydrogenation over Pd/C in EtOH/H2O provides the benzamidine derivative (XXIV), which by reaction with 1-(acetoxyethyl)-4-nitrophenylcarbonate (XXV) by means of TEA in dichloromethane provides the N-protected benzamidine derivative (XXVI). Treatment of (XXVI) with trifluoroacetic acid in the same solvent allows elimination of the Boc group to yield compound (XXVII), which by condensation with 2-(trifluoromethanesulfonyloxy)acetic acid ethyl ester (XXVIII) in the presence of K2CO3 in the same solvent affords the ximelagatran precursor (XXIX). Finally, compound (XXIX) is treated with hydroxylamine and TEA in ethanol in order to deprotect and to oxidize the amidino group, yielding ximelagatran.

Drug Information Express,Drug R&D,Chemical Database,Patent Search.
Copyright © 2006-2026 Drug Future. All rights reserved.Contact Us