【药物名称】
化学结构式(Chemical Structure):
参考文献No.461608
标题:Synthesis of 2,6, 7-trichloro-1-(beta-D-ribofuranosyl)naphtho[2, 3-d]imidazole: A linear dimensional analogue of the antiviral agent TCRB
作者:Zhu, Z.J.; et al.
来源:J Org Chem 1998,63(4),977
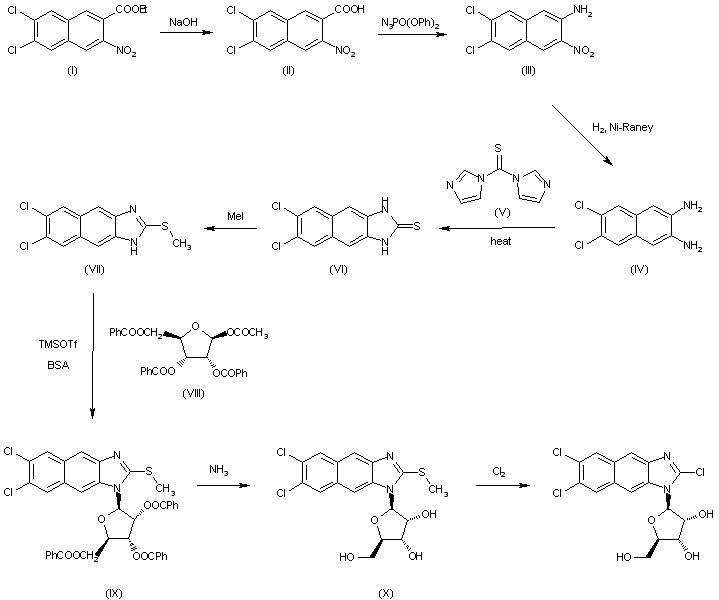
合成路线图解说明:

The hydrolysis of 6,7-dichloro-3-nitro-2-naphthoic acid ethyl ester (I) with NaOH in ethanol gives the expected free acid (II), which is treated with diphenylphosphoroazidate and triethylamine in DMF to yield 6,7-dichloro-3-nitro-2-naphthylamine (III). The reduction of (III) with H2 over RaNi in ehanol/ethyl acetate affords the corresponding diamine (IV), which is cyclized with thiocarbonyldi-imidazole (V) in refluxing benzene to give 6,7-dichloro-2,3-dihydro-1H-naphtho[2,3-d]imidazole-2-thione (VI). The methylation of (VI) with methyl iodide in dry DMF yields the corresponding methylsulfanyl derivative (VII), which is condensed with 1-O-acetyl-2,3,5-tri-O-ben-zoyl-beta-D-ribofuranose (VIII) by means of trimethylsilyl trifluoro-methanesulfonate (TMSOTf) and N,O-bis(trimethylsilyl)acetamide (BSA) in dichloromethane affording the benzoylated ribofuranoside (IX). The debenzoylation of (IX) with ammonia in methanol gives the free ribofuranoside (X), which is finally treated with Cl2/CCl4 in methanol to eliminate the methylsulfanyl group.

Drug Information Express,Drug R&D,Chemical Database,Patent Search.
Copyright © 2006-2026 Drug Future. All rights reserved.Contact Us