【药物名称】L-775606
化学结构式(Chemical Structure):
参考文献No.538137
标题:3-(Piperazinylpropyl)indoles: Selective, orally bioavailable h5-HT1D receptor agonists as potential antimigraine agents
作者:Chambers, M.S.; Street, L.J.; Goodacre, S.; Hobbs, S.C.; Hunt, P.; Jelley, R.A.; Matassa, V.G.; Reeve, A.J.; Sternfeld, F.; Beer, M.S.; Stanton, J.A.; Rathbone, D.; Watt, A.P.; MacLeod, A.M.
来源:J Med Chem 1999,42(4),691
合成路线图解说明:

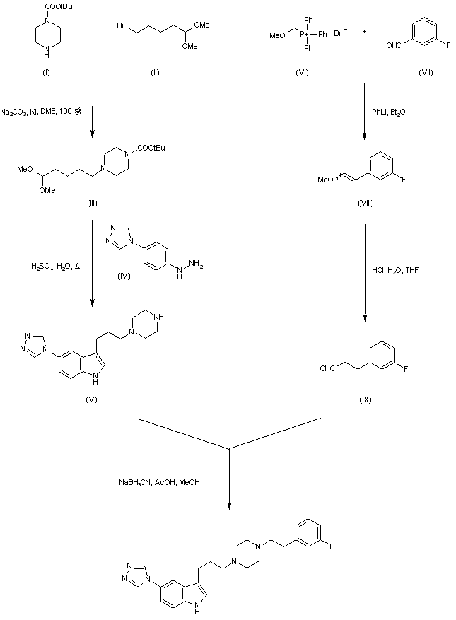
Alkylation of N-Boc-piperazine (I) with bromoacetal (II) provided piperazine acetal (III). This was submitted to Fisher cyclization with 4-(1,2,4-triazol-4-yl)phenyl hydrazine (IV) in aqueous H2SO4 to afford the deprotected indole (V). Wittig reaction of 3-fluorobenzaldehyde (VII) with phosphorane prepared from (methoxymethyl)phosphonium salt (VI) and PhLi furnished the methoxyvinyl compound (VIII) as an E:Z mixture. Subsequent acid hydrolysis of the enol ether function of (VIII) yielded aldehyde (IX). The target compound was then obtained by reductive alkylation of piperazine (V) with aldehyde (IX) in the presence of NaBH3CN.

Drug Information Express,Drug R&D,Chemical Database,Patent Search.
Copyright © 2006-2026 Drug Future. All rights reserved.Contact Us