【药物名称】YM-75466, YM-466(free base), YM-60828(free base)
化学结构式(Chemical Structure):
参考文献No.30190
标题:Novel amidinonaphthyl derivs. or salt thereof
作者:Hirayama, F.; Koshio, H.; Matsumoto, Y.; Kawasaki, T.; Kaku, S.; Yanagisawa, I. (Yamanouchi Pharmaceutical Co., Ltd.)
来源:EP 0798295; US 5869501; WO 9616940
合成路线图解说明:

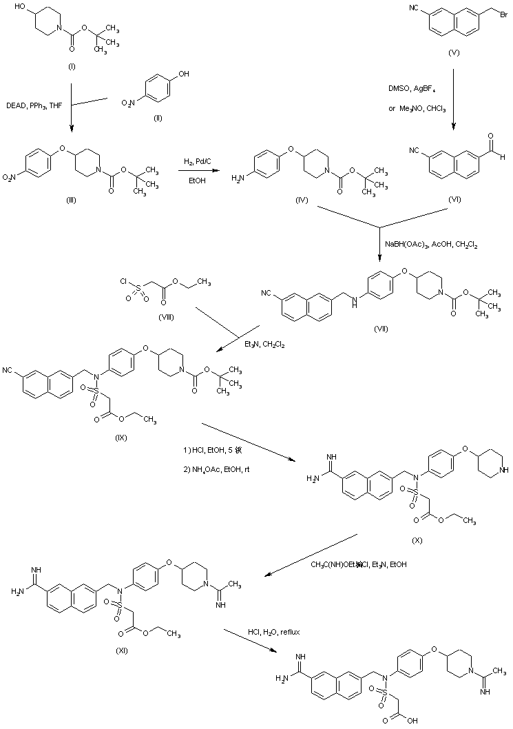
The intermediate aniline (IV) was synthesized by Mitsunobu coupling between N-Boc-4-piperidinol (I) and p-nitrophenol (II), followed by catalytic hydrogenation of the resultant nitrophenyl ether (III). 7-Formyl-2-naphthalenecarbonitrile (VI) was prepared by oxidation of the bromomethyl(naphthalene) (V) employing either trimethylamine N-oxide or dimethylsulfoxide in the presence of silver tetrafluoroborate. Reductive alkylation of aniline (IV) with aldehyde (VI) by means of sodium triacetoxyborohydride produced the secondary amine (VII), which was subsequently acylated with ethyl 2-(Chlorosulfonyl)acetate (VIII) to furnish sulfonamide (IX). The required amidine (X) was then obtained by Pinner reaction of nitrile (IX) with ethanolic HCl, followed by treatment with ammonium acetate. The deprotected piperidine moiety of (X) was further subjected to condensation with ethyl acetimidate to give the bis-amidine compound (XI). The ethyl ester group of (XI) was finally hydrolyzed under acidic conditions, yielding the target carboxylic acid.

参考文献No.668522
标题:The discovery of YM-60828: A potent, selective and orally-bioavailable factor Xa inhibitor
作者:Hirayama, F.; Koshio, H.; Katayama, N.; Kurihara, H.; Taniuchi, Y.; Sato, K.; Hisamichi, N.; Sakai-Moritani, Y.; Kawasaki, T.; Matsumoto, Y.; Yanagisawa, I.
来源:Bioorg Med Chem 2002,10(5),1509
合成路线图解说明:

The intermediate aniline (IV) was synthesized by Mitsunobu coupling between N-Boc-4-piperidinol (I) and p-nitrophenol (II), followed by catalytic hydrogenation of the resultant nitrophenyl ether (III). 7-Formyl-2-naphthalenecarbonitrile (VI) was prepared by oxidation of the bromomethyl(naphthalene) (V) employing either trimethylamine N-oxide or dimethylsulfoxide in the presence of silver tetrafluoroborate. Reductive alkylation of aniline (IV) with aldehyde (VI) by means of sodium triacetoxyborohydride produced the secondary amine (VII), which was subsequently acylated with ethyl 2-(Chlorosulfonyl)acetate (VIII) to furnish sulfonamide (IX). The required amidine (X) was then obtained by Pinner reaction of nitrile (IX) with ethanolic HCl, followed by treatment with ammonium acetate. The deprotected piperidine moiety of (X) was further subjected to condensation with ethyl acetimidate to give the bis-amidine compound (XI). The ethyl ester group of (XI) was finally hydrolyzed under acidic conditions, yielding the target carboxylic acid.

Drug Information Express,Drug R&D,Chemical Database,Patent Search.
Copyright © 2006-2026 Drug Future. All rights reserved.Contact Us