【药物名称】PD-157667
化学结构式(Chemical Structure):
参考文献No.472251
标题:Synthesis and structure-activity relationship of substituted 1,2,3,4-tetrahydroisoquinolines as N-type calcium channel blockers
作者:Yuen, P.; Schelkun, R.M.; Szoke, B.; Tarczy-Hornoch, K.
来源:Bioorg Med Chem Lett 1998,8(18),2415
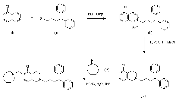
合成路线图解说明:

Alkylation of 5-hydroxyisoquinoline (I) with bromide (II) in DMF at 80 C afforded isoquinolinium salt (III). This was reduced to tetrahydroisoquinoline (IV) by catalytic hydrogenation in the presence of Pd/C. Finally, Mannich reaction with formaldehyde and perhydroazepine (V) in THF-water at r.t. provided the target compound.

Drug Information Express,Drug R&D,Chemical Database,Patent Search.
Copyright © 2006-2026 Drug Future. All rights reserved.Contact Us