【药物名称】
化学结构式(Chemical Structure):
参考文献No.534884
标题:New growth hormone secretagogues: C-terminal modified sulfonamide-analogues of NN703
作者:Peschke, B.; Hansen, B.S.
来源:Bioorg Med Chem Lett 1999,9(9),1295
合成路线图解说明:

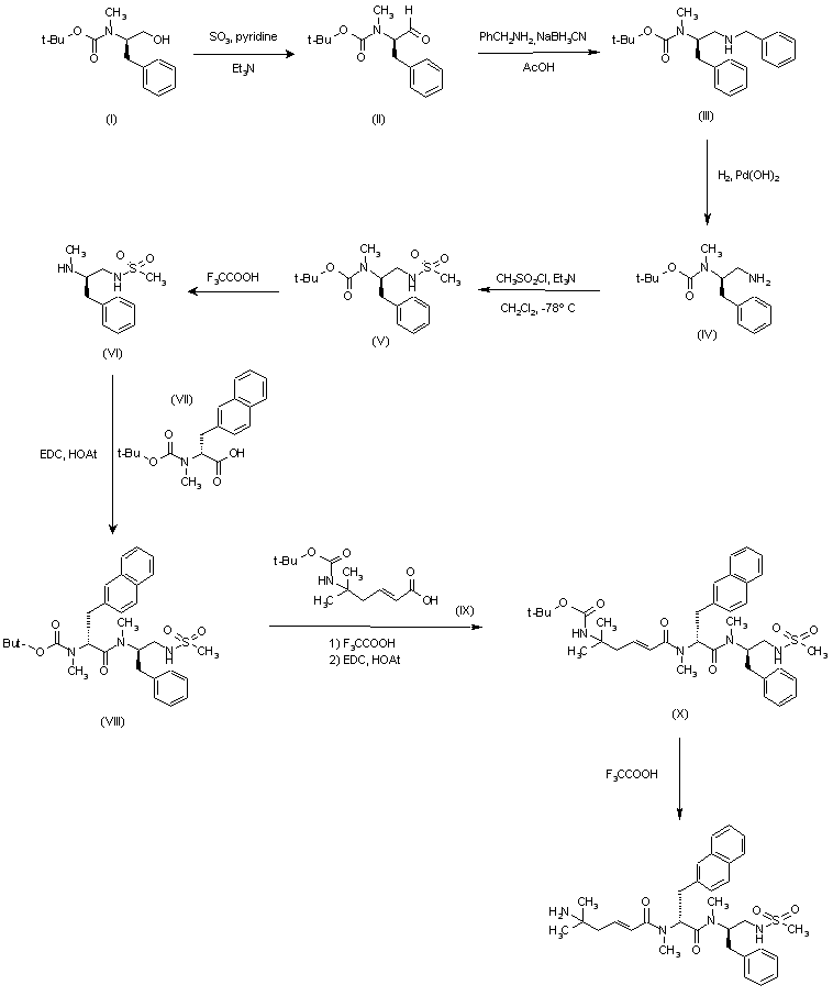
N-Boc-N-Methyl-D-phenylalaninol (I) was oxidized to aldehyde (II) using SO3-pyridine complex. Reductive amination of (II) with benzylamine to yield (III), followed by hydrogenolytic debenzylation then furnished the monoprotected diamine (IV). This was condensed with methanesulfonyl chloride to yield sulfonamide (V). After deprotection of the Boc group of (V) with trifluoroacetic acid, amine (VI) was coupled with N-Boc-N-methyl-D-naphthylalanine (VII) using EDC and HOAt. The resulting amide (VIII) was further deprotected with trifluoroacetic acid, and then coupled with 5-(tert-butoxycarbonyl)amino-5-methyl-2-hexenoic acid (IX) to yield (X). Finally, acid deprotection of the Boc group of (X) furnished the target compound.

Drug Information Express,Drug R&D,Chemical Database,Patent Search.
Copyright © 2006-2026 Drug Future. All rights reserved.Contact Us