【药物名称】BIIB-513
化学结构式(Chemical Structure):
参考文献No.33877
标题:Novel benzoyl guanidine derivs., process for their preparation and their use in the preparation of medicines
作者:B黵ger, E.; Eickmeier, C.; Roos, O. (Boehringer Ingelheim GmbH)
来源:DE 19601303; EP 0882031; JP 2000503309; US 6114335; WO 9726253
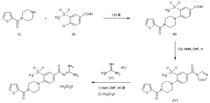
合成路线图解说明:

Condensation of N-(2-furanylcarbonyl)piperazine (I) with 4-chloro-3-(methylsulfonyl)benzoic acid (II) at 120 C produced the disubstituted piperazine (III). After activation of the carboxy group as the imidazolide (IV) upon treatment with 1,1'-carbonyldiimidazole and N-methylmorpholine, treatment with guanidine hydrochloride (V) and NaH in hot DMF yielded the corresponding benzoyl guanidine, which was finally isolated as the methanesulfonate salt.

Drug Information Express,Drug R&D,Chemical Database,Patent Search.
Copyright © 2006-2026 Drug Future. All rights reserved.Contact Us