【药物名称】SB-239063
化学结构式(Chemical Structure):
参考文献No.33826
标题:Novel cycloalkyl substd. imidazoles
作者:Adams, J.L.; Garigipati, R.S. (SmithKline Beecham plc)
来源:EP 0883402; WO 9725047
合成路线图解说明:

The condensation of p- fluorobenzaldehyde (I) with p-toluenesulfinic acid (II) in the presence of camphorsulfonic acid in formamide produced the tosylmethyl formamide (III). This was dehydrated to the required isocyanide (IV) using POCl3 and Et3N in cold dimethoxyethane.

合成路线图解说明:

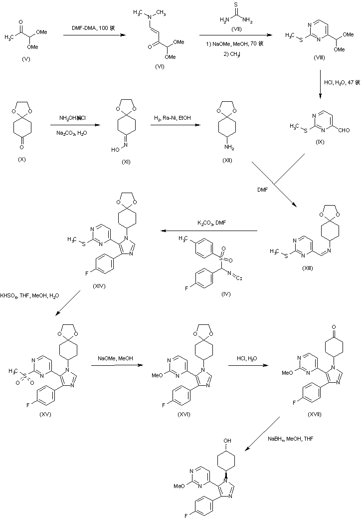
Condensation of pyruvic aldehyde dimethyl acetal (V) with dimethylformamide dimethyl acetal produced enamino ketone (VI). Cyclization of (VI) with thiourea (VII), followed by methylation with iodomethane furnished the (methylsulfanyl)pyrimidine (VIII). Acid hydrolysis of the dimethyl acetal gave rise to aldehyde (IX). Cyclohexanedione monoketal (X) was converted to oxime (XI) and then hydrogenated to give amine (XII). This was condensed with aldehyde (IX) yielding imine (XIII). Reaction of imine (XIII) with sulfonyl isocyanide (IV) gave rise to imidazole (XIV). The methylsulfanyl group of (XIV) was then oxidized to sulfone (XV) employing oxone? Further displacement of the methylsulfonyl group of (XV) with NaOMe produced the methoxy pyrimidine (XVI). After ketal (XVI) hydrolysis, reduction of the resulting ketone (XVII) with NaBH4 furnished the title alcohol.

参考文献No.33827
标题:Novel cycloalkyl substd. imidazoles
作者:Adams, J.L.; Garigipati, R.S.; Sorenson, M.E. (SmithKline Beecham plc)
来源:EP 0889726; JP 2000503304; WO 9725048
合成路线图解说明:

The condensation of p- fluorobenzaldehyde (I) with p-toluenesulfinic acid (II) in the presence of camphorsulfonic acid in formamide produced the tosylmethyl formamide (III). This was dehydrated to the required isocyanide (IV) using POCl3 and Et3N in cold dimethoxyethane.

合成路线图解说明:

Condensation of pyruvic aldehyde dimethyl acetal (V) with dimethylformamide dimethyl acetal produced enamino ketone (VI). Cyclization of (VI) with thiourea (VII), followed by methylation with iodomethane furnished the (methylsulfanyl)pyrimidine (VIII). Acid hydrolysis of the dimethyl acetal gave rise to aldehyde (IX). Cyclohexanedione monoketal (X) was converted to oxime (XI) and then hydrogenated to give amine (XII). This was condensed with aldehyde (IX) yielding imine (XIII). Reaction of imine (XIII) with sulfonyl isocyanide (IV) gave rise to imidazole (XIV). The methylsulfanyl group of (XIV) was then oxidized to sulfone (XV) employing oxone? Further displacement of the methylsulfonyl group of (XV) with NaOMe produced the methoxy pyrimidine (XVI). After ketal (XVI) hydrolysis, reduction of the resulting ketone (XVII) with NaBH4 furnished the title alcohol.

参考文献No.38210
标题:Novel cycloalkyl substd. imidazoles
作者:Boehm, J.C.; Garigipati, R.S.; Adams, J.L. (SmithKline Beecham Corp.)
来源:EP 1019396; WO 9901452
合成路线图解说明:

The condensation of p- fluorobenzaldehyde (I) with p-toluenesulfinic acid (II) in the presence of camphorsulfonic acid in formamide produced the tosylmethyl formamide (III). This was dehydrated to the required isocyanide (IV) using POCl3 and Et3N in cold dimethoxyethane.

合成路线图解说明:

Condensation of pyruvic aldehyde dimethyl acetal (V) with dimethylformamide dimethyl acetal produced enamino ketone (VI). Cyclization of (VI) with thiourea (VII), followed by methylation with iodomethane furnished the (methylsulfanyl)pyrimidine (VIII). Acid hydrolysis of the dimethyl acetal gave rise to aldehyde (IX). Cyclohexanedione monoketal (X) was converted to oxime (XI) and then hydrogenated to give amine (XII). This was condensed with aldehyde (IX) yielding imine (XIII). Reaction of imine (XIII) with sulfonyl isocyanide (IV) gave rise to imidazole (XIV). The methylsulfanyl group of (XIV) was then oxidized to sulfone (XV) employing oxone? Further displacement of the methylsulfonyl group of (XV) with NaOMe produced the methoxy pyrimidine (XVI). After ketal (XVI) hydrolysis, reduction of the resulting ketone (XVII) with NaBH4 furnished the title alcohol.

Drug Information Express,Drug R&D,Chemical Database,Patent Search.
Copyright © 2006-2026 Drug Future. All rights reserved.Contact Us