【药物名称】Tabimorelin, NNC-26-0703, NN-703
化学结构式(Chemical Structure):
参考文献No.469559
标题:Novel orally active growth hormone secretagogues
作者:Hansen, T.K.; Ankersen, M.; Hansen, B.S.; Raun, K.; Nielsen, K.K.; Lau, J.; Peschke, B.; Lundt, B.F.; Thogersen, H.; Johansen, N.L.; Madsen, K.; Andersen, P.H.
来源:J Med Chem 1998,41(19),3705
合成路线图解说明:

The intermediate N-Boc-amino acid (VII) was synthesized as shown in Scheme 25409101a. Treatment of 3-(tert-butoxycarbonylamino)-3-methylbutanoic acid (I) with ethyl chloroformate and Et3N, followed by reduction of the resulting mixed anhydride (II) with LiBH4, provided alcohol (III). Then, oxidation of (III) under Swern conditions yielded aldehyde (IV). Subsequent Horner-Emmons condensation of (IV) with triethyl phosphonoacetate (V) in the presence of potassium tert-butoxide gave ester (VI), which was saponified with LiOH to provide the required carboxylic acid (VII).

合成路线图解说明:

Methylation of N-Boc-D-phenylalanine (VIII) with methyl iodide and NaH afforded the N-methyl amino acid (IX). After coupling with methylamine in the presence of EDC and HOBt, the Boc protecting group of the resulting amide (X) was removed by treatment with trifluoroacetic acid to give (XI). The N-methyl amino acid (XIII), prepared by methylation of N-Boc-naphthylalanine (XII), was then coupled to amine (XI) by means of EDC and HOAt to yield dipeptide amide (XIV). A further treatment of (XIV) with trifluoroacetic acid removed the Boc protecting group to yield (XV), which was then coupled with amino acid (VII) in the presence of EDC and HOAt yielding (XVI). Finally, deprotection of the Boc-tripeptide (XVI) with trifluoroacetic acid provided the title compound.

合成路线图解说明:

Amino acid (II) (obtained by N-alkylation of N-Boc-D-phenylalanine (I) with MeI), was coupled to (S)-1-amino-2-propanol (III) using 1-ethyl-3-(3-dimethylaminopropyl)carbodiimide-HCl (EDC) and 1-hydroxybenzotriazole to give amide (IV). The N-Boc group of (IV) was then deprotected with trifluoroacetic acid in CH2Cl2 to afford (V). Further coupling of (V) with D-naphthylalanine derivative (VI), followed by Boc deprotection with trifluoroacetic acid, provided dipeptide amide (VII). This dipeptide was coupled to intermediate amino acid (VIII) using EDC and 1-hydroxy-7-azabenzotriazole yielding tripeptide (IX). Finally, trifluoroacetic acid-promoted Boc-deprotection of (IX) provided the target compound. Intermediate amino acid (VIII) was prepared from 3-(tert-butoxycarbonylamino)-3-methylbutanoic acid (X) upon conversion to the mixed anhydride with ethyl chloroformate, followed by reduction to alcohol (XI) with LiBH4. Subsequent Swern oxidation of the alcohol (XI) furnished aldehyde (XII). This was condensed with triethyl phosphonoacetate, and then saponified with LiOH to produce the intermediate (VIII).

参考文献No.614158
标题:Synthesis of N-protected 14C-labelled (2E)-5-amino-5-methylhex-2-enoic acid analogues
作者:Jessen, C.U.; et al.
来源:J Label Compd Radiopharm 2001,44(4),265
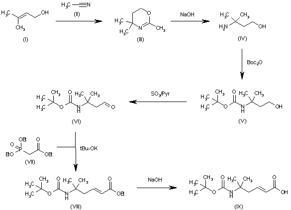
合成路线图解说明:

The cyclization of 3-methyl-2-buten-1-ol (I) with acetonitrile (II) gives 2,4,4-trimethyl-5,6-dihydro-4H-1,3-oxazine (III), which is hydrolyzed with NaOH to yield 3-amino-3-methyl-1-butanol (IV). The protection of the amino group of (IV) with (Boc)2O in isopropanol affords the carbamate (V), which is oxidized at the primary OH group with SO3/pyridine and TEA to provide the aldehyde (VI). The condensation of (VI) with triethyl phosphonoacetate (VII) by means of potassium tert-butoxide in hot toluene gives the desired hexenoic ester (intermediate 27230), which is hydrolyzed with NaOH in refluxing ethanol to yield the corresponding acid intermediate (intermediate 22191).

Drug Information Express,Drug R&D,Chemical Database,Patent Search.
Copyright © 2006-2026 Drug Future. All rights reserved.Contact Us