【药物名称】RO-28-2653
化学结构式(Chemical Structure):
参考文献No.33749
标题:New barbituric acid derivs., processes for their production and pharmaceutical agents containing these cpds.
作者:Bosies, E.; Esswein, A.; Grams, F.; Krell, H.-W.; Menta, E. (Roche Diagnostics GmbH)
来源:DE 19548624; EP 0869947; JP 2000505069; US 6110924; US 6472396; WO 9723465
合成路线图解说明:

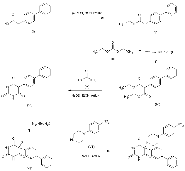
Esterification of (4'-biphenyl)acetic acid (I) with ethanol and p-toluenesulfonic acid provides the corresponding ethyl ester (II). Subsequent carbethoxylation of (II) with diethyl carbonate (III) under Claisen's condensation conditions furnishes the biphenylmalonate (IV). Cyclization of malonate (IV) with urea (V) in the presence of NaOEt leads to 5-(4'-biphenyl)barbituric acid (VI), which is further brominated to (VII) employing Br2 in aqueous HBr. The title compound is finally obtained by displacement of the 5-bromo barbituric acid (VII) with N-(4-nitrophenyl)piperazine (VIII) in refluxing MeOH.

Drug Information Express,Drug R&D,Chemical Database,Patent Search.
Copyright © 2006-2026 Drug Future. All rights reserved.Contact Us