【药物名称】
化学结构式(Chemical Structure):
参考文献No.32747
标题:Pharmaceutical cpds.
作者:Moore, R.E.; Patel, V.F.; Ray, J.E.; Toth, J.E. (Eli Lilly and Company; University of Hawaii; Wayne State University)
来源:EP 0850057; JP 2000501067; WO 9707798; WO 9708334
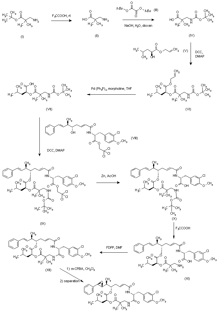
合成路线图解说明:

Title compound can be prepared either by bacterial fermentation or by chemical synthesis. Thus, the compund was isolated from cultures of Nostoc sp. GSV 224, growing in the presence of 2,2-dimethyl-b-alanine. After lyophilization and extraction with CH3CN-CH2Cl2, the extract was subjected to several chromatographic purifications to provide the pure compound. Alternatively, 2,2-dimethyl-b-alanine tert-butyl ester (I) was deprotected with trifluoroacetic acid, and the resulting carboxylic acid (II) was treated with di tert-butyl oxalate (III) in the presence of NaOH to afford carbamate (IV). Subsequent coupling with allyl (S)-2-hydroxy-4-methylpentanoate (V) using DCC and DMAP gave ester (VI). The allyl ester was then cleaved by treatment with Pd(Ph3P)4 and morpholine in THF at r.t., and the resulting acid (VII) was coupled with compound (VIII) in the presence of DCC and DMAP to afford (IX). After deprotection of the trichloroethyl ester group by treatment with Zn in AcOH and subsequent cleavage of the N-Boc group with trifluoroacetic acid, the resulting amino acid compound (XI) was cyclized using pentafluorophenyl diphenyl phosphinate (FDPP) to furnish (XII). Finally, epoxidation with meta-chloroperbenzoic acid provided a mixture of diastereomeric epoxides that were separated by reverse phase HPLC.

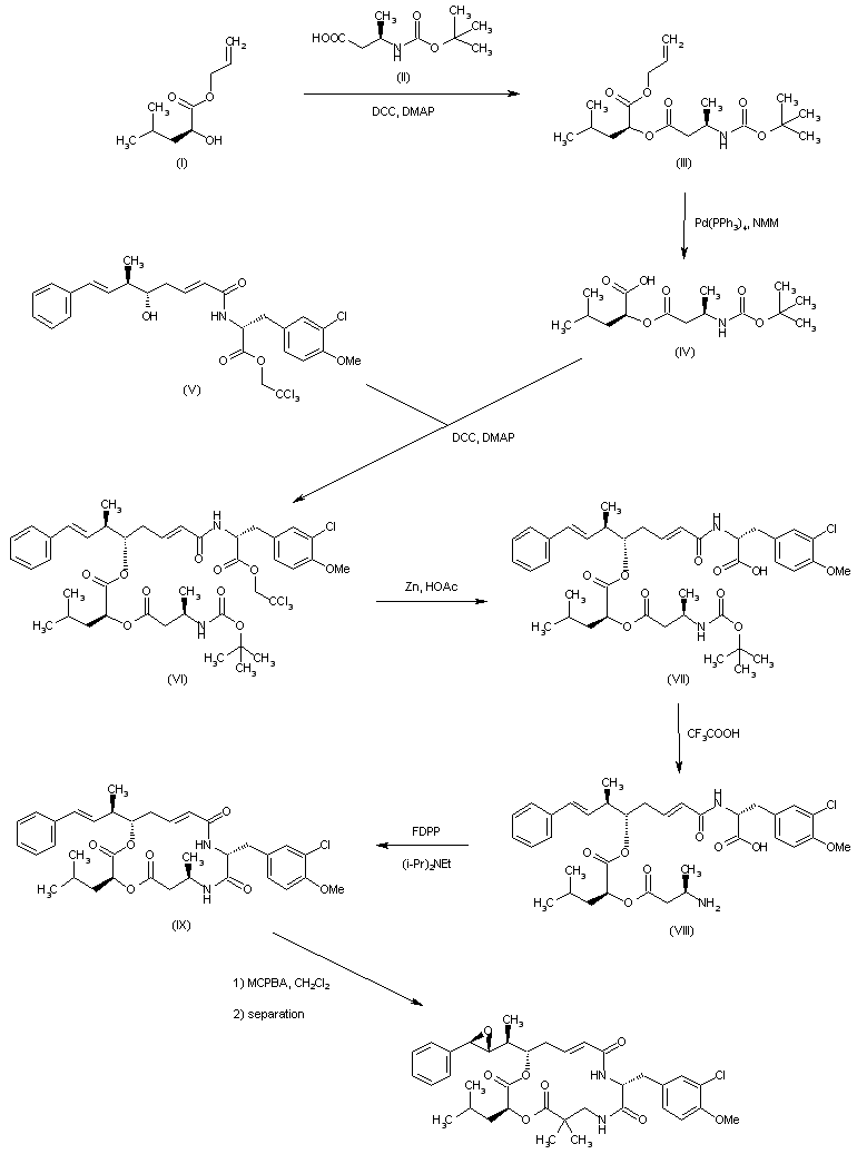
合成路线图解说明:

Condensation of (R)-3-(tert-butoxycarbonylamino)butyric acid (II) with hydroxyester (I) using DCC and DMAP provided compound (III). Removal of the allyl group of (III) ester was then effected by treatment with Pd(PPh3)4 and N-methylmorpholine (NMM) to afford acid (IV). Subsequent coupling of (IV) with alcohol (V) in the presence of DCC and DMAP yielded the corresponding ester (VI). After deprotection of the trichloroethyl ester with Zn in AcOH, and subsequent deprotection of the N-tert--butoxycarbonyl group with trifluoroacetic acid, the resulting amino acid compound (VIII) was cyclized by treatment with FDPP in the presence of diisopropylethylamine to provide lactam (IX). Finally, epoxidation of the styrene olefin with m-chloroperbenzoic acid in CH2Cl2 furnished a mixture of diastereoisomeric epoxides, from which the title compound was isolated by reverse-phase HPLC.

参考文献No.33732
标题:Pharmaceutical cpds.
作者:Shih, C. (Eli Lilly and Company; University of Hawaii; Wayne State University)
来源:EP 0869786; JP 2000502351; WO 9723211
合成路线图解说明:

Title compound can be prepared either by bacterial fermentation or by chemical synthesis. Thus, the compund was isolated from cultures of Nostoc sp. GSV 224, growing in the presence of 2,2-dimethyl-b-alanine. After lyophilization and extraction with CH3CN-CH2Cl2, the extract was subjected to several chromatographic purifications to provide the pure compound. Alternatively, 2,2-dimethyl-b-alanine tert-butyl ester (I) was deprotected with trifluoroacetic acid, and the resulting carboxylic acid (II) was treated with di tert-butyl oxalate (III) in the presence of NaOH to afford carbamate (IV). Subsequent coupling with allyl (S)-2-hydroxy-4-methylpentanoate (V) using DCC and DMAP gave ester (VI). The allyl ester was then cleaved by treatment with Pd(Ph3P)4 and morpholine in THF at r.t., and the resulting acid (VII) was coupled with compound (VIII) in the presence of DCC and DMAP to afford (IX). After deprotection of the trichloroethyl ester group by treatment with Zn in AcOH and subsequent cleavage of the N-Boc group with trifluoroacetic acid, the resulting amino acid compound (XI) was cyclized using pentafluorophenyl diphenyl phosphinate (FDPP) to furnish (XII). Finally, epoxidation with meta-chloroperbenzoic acid provided a mixture of diastereomeric epoxides that were separated by reverse phase HPLC.

合成路线图解说明:

Condensation of (R)-3-(tert-butoxycarbonylamino)butyric acid (II) with hydroxyester (I) using DCC and DMAP provided compound (III). Removal of the allyl group of (III) ester was then effected by treatment with Pd(PPh3)4 and N-methylmorpholine (NMM) to afford acid (IV). Subsequent coupling of (IV) with alcohol (V) in the presence of DCC and DMAP yielded the corresponding ester (VI). After deprotection of the trichloroethyl ester with Zn in AcOH, and subsequent deprotection of the N-tert--butoxycarbonyl group with trifluoroacetic acid, the resulting amino acid compound (VIII) was cyclized by treatment with FDPP in the presence of diisopropylethylamine to provide lactam (IX). Finally, epoxidation of the styrene olefin with m-chloroperbenzoic acid in CH2Cl2 furnished a mixture of diastereoisomeric epoxides, from which the title compound was isolated by reverse-phase HPLC.

参考文献No.482611
标题:Synthesis and biological evaluation of novel cryptophycin analogs with modification in the beta-alanine region
作者:Shih, C.; Gossett, L.S.; Gruber, J.M.; Grossman, C.S.; Andis, S.L.; Schultz, R.M.; Worzalla, J.F.; Corbett, T.H.; Metz, J.T.
来源:Bioorg Med Chem Lett 1999,9(1),69
合成路线图解说明:

Title compound can be prepared either by bacterial fermentation or by chemical synthesis. Thus, the compund was isolated from cultures of Nostoc sp. GSV 224, growing in the presence of 2,2-dimethyl-b-alanine. After lyophilization and extraction with CH3CN-CH2Cl2, the extract was subjected to several chromatographic purifications to provide the pure compound. Alternatively, 2,2-dimethyl-b-alanine tert-butyl ester (I) was deprotected with trifluoroacetic acid, and the resulting carboxylic acid (II) was treated with di tert-butyl oxalate (III) in the presence of NaOH to afford carbamate (IV). Subsequent coupling with allyl (S)-2-hydroxy-4-methylpentanoate (V) using DCC and DMAP gave ester (VI). The allyl ester was then cleaved by treatment with Pd(Ph3P)4 and morpholine in THF at r.t., and the resulting acid (VII) was coupled with compound (VIII) in the presence of DCC and DMAP to afford (IX). After deprotection of the trichloroethyl ester group by treatment with Zn in AcOH and subsequent cleavage of the N-Boc group with trifluoroacetic acid, the resulting amino acid compound (XI) was cyclized using pentafluorophenyl diphenyl phosphinate (FDPP) to furnish (XII). Finally, epoxidation with meta-chloroperbenzoic acid provided a mixture of diastereomeric epoxides that were separated by reverse phase HPLC.

合成路线图解说明:

Condensation of (R)-3-(tert-butoxycarbonylamino)butyric acid (II) with hydroxyester (I) using DCC and DMAP provided compound (III). Removal of the allyl group of (III) ester was then effected by treatment with Pd(PPh3)4 and N-methylmorpholine (NMM) to afford acid (IV). Subsequent coupling of (IV) with alcohol (V) in the presence of DCC and DMAP yielded the corresponding ester (VI). After deprotection of the trichloroethyl ester with Zn in AcOH, and subsequent deprotection of the N-tert--butoxycarbonyl group with trifluoroacetic acid, the resulting amino acid compound (VIII) was cyclized by treatment with FDPP in the presence of diisopropylethylamine to provide lactam (IX). Finally, epoxidation of the styrene olefin with m-chloroperbenzoic acid in CH2Cl2 furnished a mixture of diastereoisomeric epoxides, from which the title compound was isolated by reverse-phase HPLC.

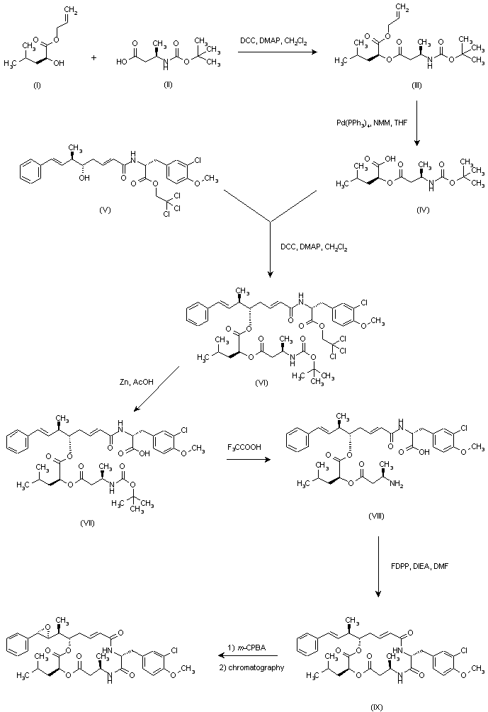
合成路线图解说明:

Condensation of (R)-3-(tert-butoxycarbonylamino)butyric acid (II) with hydroxyester (I) using DCC and DMAP provided compound (III). Removal of the allyl group of (III) was then effected by treatment with Pd(PPh3)4 and N-methylmorpholine (NMM) to afford acid (IV). Subsequent coupling of (IV) with alcohol (V) in the presence of DCC and DMAP yielded the corresponding ester (VI). After deprotection of the trichloroethyl ester with Zn in AcOH group (VII), and subsequent deprotection of the N-tert-butoxycarbonyl group with trifluoroacetic acid, the resulting amino acid compound (VIII) was cyclized by treatment with FDPP in the presence of diisopropylethylamine to provide lactam (IX). Finally, epoxidation of the styrene olefin with m-chloroperbenzoic acid in CH2Cl2 furnished a mixture of diastereoisomeric epoxides, from which the title compound was isolated by reverse-phase HPLC.

Drug Information Express,Drug R&D,Chemical Database,Patent Search.
Copyright © 2006-2026 Drug Future. All rights reserved.Contact Us