【药物名称】CGS-33090A
化学结构式(Chemical Structure):
参考文献No.33657
标题:alpha-Substd. arylsulphonamido hydroxamic acids as TNF-alpha and matrix metalloproteinase inhibitors
作者:Parker, D.T. (Novartis AG)
来源:EP 0873312; JP 2000502088; US 5770624; WO 9722587
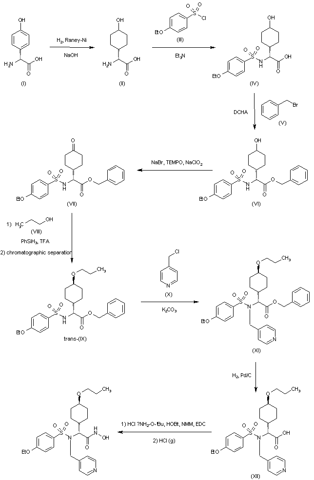
合成路线图解说明:

Hydrogenation of D-4-hydroxyphenyl glycine (I) over Raney-Ni in NaOH affords 4-hydroxycyclohexylglycine (II), which is condensed with sulfonyl chloride (III) in dioxane in the presence of Et3N to yield derivative (IV). Carboxylic acid (IV) is converted into benzyl ester (VI) by treatment with benzyl bromide (V) by means of N,N'-dicyclohexylamine (DCHA) in DMF and (VI) is then oxidized by treatment with NaBr, 2,2,6,6-tetramethyl-1-piperidinyloxy free radical (TEMPO) and NaClO2 in CH2Cl2/H2O to provide ketone (VII). Condensation of (VII) with n-propanol (VIII) by means of PhSiH3 and TFA gives a mixture of compounds from which trans-(IX) is cromatographically separated. Then ketone (IX) reacts with 4-picolyl chloride (X) and K2CO3 in DMF to furnish compound (XI). Hydrogenation of benzyl acetate (XI) over Pd/C in EtOH/HCl affords acetic acid derivative (XII), which is coupled to O-t-butylhydroxylamine hydrochloride by means of HOBt, N-methylmorpholine and N-[dimethylaminopropyl]-N'-ethylcarbodiimide hydrochloride (EDC稨Cl) in CH2Cl2. Finally, removal of the t-Bu group with HCl (gas) in dichloroethane/EtOH yields the desired compound.

Drug Information Express,Drug R&D,Chemical Database,Patent Search.
Copyright © 2006-2026 Drug Future. All rights reserved.Contact Us