【药物名称】
化学结构式(Chemical Structure):
参考文献No.348072
标题:Synthesis and antibacterial activity of U-100592 and U-100766, two oxazolidinone antibacterial agents for the potential treatment of multidrug-resistant Gram-positive bacterial infections
作者:Hutchinson, D.K.; Brickner, S.J.; Barbachyn, M.R.; Manninen, P.R.; Ulanowicz, D.A.; Garmon, S.A.; Grega, K.C.; Hendges, S.K.; Toops, D.S.; Ford, C.W.; Zurenko, G.E.
来源:J Med Chem 1996,39(3),673
合成路线图解说明:

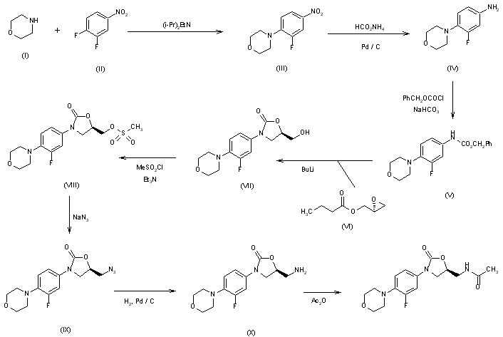
The condensation of morpholine (I) with 3,4-difluoronitrobenzene (II) by means of diisopropylethylamine in refluxing acetonitrile gives 3-fluoro-4-(4-morpholinyl)nitrobenzene (III), which is reduced with ammonium formate over Pd/C in THF/methanol to the corresponding aniline (IV). The reaction of (IV) with benzyloxycarbonyl chloride and NaHCO3 in acetone/water yields the carbamate ester (V), which is cyclized with 2(R),3-epoxypropyl butyrate (VI) by means of butyllithium in THF affording 5(R)-(hydroxymethyl)-3-[3-fluoro-4-(4-morpholinyl)phenyl]oxazolidin-2-one (VII). The reaction of (VII) with methanesulfonyl chloride and triethylamine in dichloromethane gives the mesylate (VIII), which by reaction with NaN3 in hot DMF is converted into the azide (IX). The reduction of (IX) with H2 over Pd/C in ethyl acetate affords the corresponding amine (X), which is finally acetylated with acetic anhydride and pyridine.

合成路线图解说明:

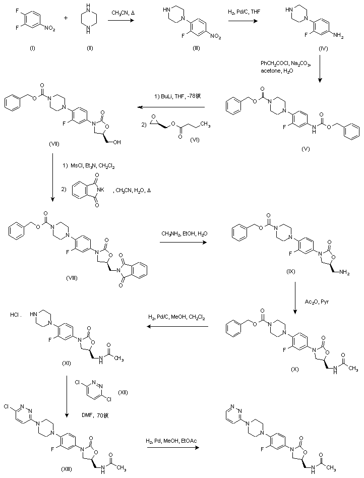
Condensation of 3,4-difluoronitrobenzene (I) with an excess of piperazine (II) in refluxing acetonitrile yielded the 4-nitrophenylpiperazine (III), which was reduced to aniline (IV) by hydrogenation in the presence of Pd/C. Reaction with benzyl chloroformate provided the bis(carbamate) (V). This was treated with butyllithium at -78 C, and the resulting lithium salt was reacted with (R)-glycidyl butyrate (VI) to give chiral (R)-oxazolidinone (VII). Subsequent reaction with methanesulfonyl chloride, followed by displacement of the resulting mesylate with potassium phthalimide afforded the substituted phthalimide (VIII), which was deblocked with aqueous methylamine to give primary amine (IX). Further acetylation with Ac2O in pyridine yielded amide (IX) from which the N-carbobenzoxy group was removed by hydrogenolysis in the presence of Pd/C, providing the piperazine salt (XI). Alkylation of piperazine (XI) with 3,6-dichloropyridazine (XII) in DMF then gave the chloropyridazine derivative (XIII) and final hydrogenolysis of the halogen atom in the presence of palladium black yielded the title compound.

合成路线图解说明:

Condensation of 3,4-difluoronitrobenzene (I) with an excess of piperazine (II) in refluxing acetonitrile yielded the 4-nitrophenylpiperazine (III), which was reduced to aniline (IV) by hydrogenation in the presence of Pd/C. Reaction with benzyl chloroformate provided the bis(carbamate) (V). This was treated with butyllithium at -78 C, and the resulting lithium salt was reacted with (R)-glycidyl butyrate (VI) to give chiral (R)-oxazolidinone (VII). Subsequent reaction with methanesulfonyl chloride, followed by displacement of the resulting mesylate with potassium phthalimide afforded the substituted phthalimide (VIII), which was deblocked with aqueous methylamine to give primary amine (IX). Further acetylation with Ac2O in pyridine yielded amide (IX) from which the N-carbobenzoxy group was removed by hydrogenolysis in the presence of Pd/C, providing the piperazine salt (XI). Then, alkylation of piperazine (XI) with 3-chloro-6-methylpyridazine (XII) in dimethylpropyleneurea (DMPU) at 90 C yielded the title compound.

参考文献No.469562
标题:Piperazinyl oxazolidinone antibacterial agents containing a pyridine, diazene, or triazene heteroaromatic ring
作者:Tucker, J.A.; Allwine, D.A.; Grega, K.C.; Barbachyn, M.R.; Klock, J.L.; Adamski, J.L.; Brickner, S.J.; Hutchinson, D.K.; Ford, C.W.; Zurenko, G.E.; Conradi, R.A.; Burton, P.S.; Jensen, R.M.
来源:J Med Chem 1998,41(19),3727
合成路线图解说明:

Condensation of 3,4-difluoronitrobenzene (I) with an excess of piperazine (II) in refluxing acetonitrile yielded the 4-nitrophenylpiperazine (III), which was reduced to aniline (IV) by hydrogenation in the presence of Pd/C. Reaction with benzyl chloroformate provided the bis(carbamate) (V). This was treated with butyllithium at -78 C, and the resulting lithium salt was reacted with (R)-glycidyl butyrate (VI) to give chiral (R)-oxazolidinone (VII). Subsequent reaction with methanesulfonyl chloride, followed by displacement of the resulting mesylate with potassium phthalimide afforded the substituted phthalimide (VIII), which was deblocked with aqueous methylamine to give primary amine (IX). Further acetylation with Ac2O in pyridine yielded amide (IX) from which the N-carbobenzoxy group was removed by hydrogenolysis in the presence of Pd/C, providing the piperazine salt (XI). Alkylation of piperazine (XI) with 3,6-dichloropyridazine (XII) in DMF then gave the chloropyridazine derivative (XIII) and final hydrogenolysis of the halogen atom in the presence of palladium black yielded the title compound.

合成路线图解说明:

Condensation of 3,4-difluoronitrobenzene (I) with an excess of piperazine (II) in refluxing acetonitrile yielded the 4-nitrophenylpiperazine (III), which was reduced to aniline (IV) by hydrogenation in the presence of Pd/C. Reaction with benzyl chloroformate provided the bis(carbamate) (V). This was treated with butyllithium at -78 C, and the resulting lithium salt was reacted with (R)-glycidyl butyrate (VI) to give chiral (R)-oxazolidinone (VII). Subsequent reaction with methanesulfonyl chloride, followed by displacement of the resulting mesylate with potassium phthalimide afforded the substituted phthalimide (VIII), which was deblocked with aqueous methylamine to give primary amine (IX). Further acetylation with Ac2O in pyridine yielded amide (IX) from which the N-carbobenzoxy group was removed by hydrogenolysis in the presence of Pd/C, providing the piperazine salt (XI). Then, alkylation of piperazine (XI) with 3-chloro-6-methylpyridazine (XII) in dimethylpropyleneurea (DMPU) at 90 C yielded the title compound.

Drug Information Express,Drug R&D,Chemical Database,Patent Search.
Copyright © 2006-2026 Drug Future. All rights reserved.Contact Us