【药物名称】KR-21056
化学结构式(Chemical Structure):
参考文献No.33561
标题:beta-Methylcarbapenem derivs., process for the preparation thereof and pharmaceutical compsn. comprising same
作者:Lee, C.H.; Lee, D.H.; Kim, K.S.; Kim, J.H.; Kim, Y.S.; Jun, Y.S.; Lim, S.S.; Bae, E.M.; Kim, B.J. (Korea Research Institute of Chemical Technology)
来源:EP 1019405; JP 1999500750; US 5869477; WO 9720844
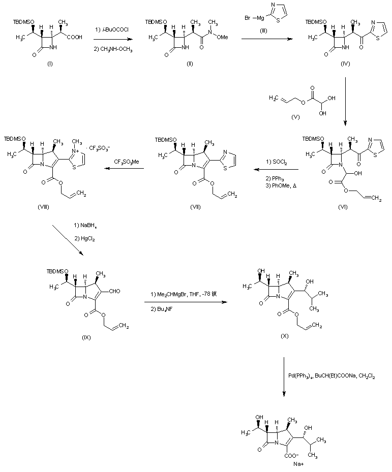
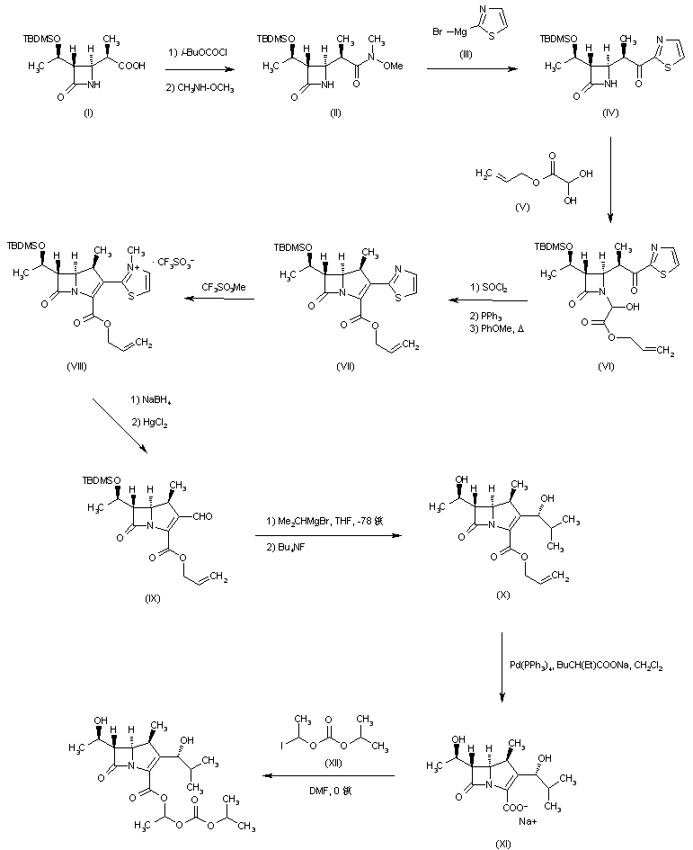
合成路线图解说明:

Azetidinepropanoic acid derivative (I) was converted to the mixed anhydride with isobutyl chloroformate and then coupled with N,O-dimethylhydroxylamine to afford the N-methoxyamide (II). This was treated with 2-thiazolylmagnesium bromide (III) to give thiazolyl ketone (IV). Condensation of (IV) with allyl glyoxylate hydrate (V) produced adduct (VI). Further reaction of (VI) with SOCl2 and then with triphenylphosphine gave the corresponding phosphorane, which cyclized in boiling anisole to generate the carbapenem (VII). After N-methylation at the thiazole ring of (VII) with methyl triflate, the thiazolium salt (VIII) was reduced with NaBH4 and subsequently hydrolyzed to aldehyde (IX) in the presence of HgCl2. Addition of isopropylmagnesium bromide to (IX) at -78 C, followed by desilylation with tetra-butylammonium fluoride yielded diol (X). Then, palladium-catalyzed deprotection of the allyl ester of (X) in the presence of sodium 2-ethylhexanoate provided the sodium carboxylate salt (XI). Finally, reaction of (XI) with 1-iodoethyl isopropyl carbonate (XII) in cold DMF produced the target ester.

参考文献No.482165
标题:KR-21012, a new carbapenem: I. Synthesis and structure-activity relationships of beta-methyl-2-(alpha-functionalized) carbapenems
作者:Pyun, D.K.; Lee, J.S.; Kim, J.H.; Lee, C.H.
来源:38th Intersci Conf Antimicrob Agents Chemother (Sept 24 1998, San Diego) 1998,Abst F-46
合成路线图解说明:

Azetidinepropanoic acid derivative (I) was converted to the mixed anhydride with isobutyl chloroformate and then coupled with N,O-dimethylhydroxylamine to afford the N-methoxyamide (II). This was treated with 2-thiazolylmagnesium bromide (III) to give thiazolyl ketone (IV). Condensation of (IV) with allyl glyoxylate hydrate (V) produced adduct (VI). Further reaction of (VI) with SOCl2 and then with triphenylphosphine gave the corresponding phosphorane, which cyclized in boiling anisole to generate the carbapenem (VII). After N-methylation at the thiazole ring of (VII) with methyl triflate, the thiazolium salt (VIII) was reduced with NaBH4 and subsequently hydrolyzed to aldehyde (IX) in the presence of HgCl2. Addition of isopropylmagnesium bromide to (IX) at -78 C, followed by desilylation with tetra-butylammonium fluoride yielded diol (X). Then, palladium-catalyzed deprotection of the allyl ester of (X) in the presence of sodium 2-ethylhexanoate provided the sodium carboxylate salt (XI). Finally, reaction of (XI) with 1-iodoethyl isopropyl carbonate (XII) in cold DMF produced the target ester.

合成路线图解说明:

Azetidinepropanoic acid derivative (I) was converted to the mixed anhydride with isobutyl chloroformate and then coupled with N,O-dimethylhydroxylamine to afford the N-methoxyamide (II). This was treated with 2-thiazolylmagnesium bromide (III) to give thiazolyl ketone (IV). Condensation of (IV) with allyl glyoxylate hydrate (V) produced adduct (VI). Further reaction of (VI) with SOCl2 and then with triphenylphosphine gave the corresponding phosphorane, which cyclized in boiling anisole to generate the carbapenem (VII). After N-methylation at the thiazole ring of (VII) with methyl triflate, the thiazolium salt (VIII) was reduced with NaBH4 and subsequently hydrolyzed to aldehyde (IX) in the presence of HgCl2. Addition of isopropylmagnesium bromide to (IX) at -78 C, followed by desilylation with tetra-butylammonium fluoride yielded diol (X). Finally, palladium-catalyzed deprotection of the allyl ester of (X) in the presence of sodium 2-ethylhexanoate provided the title sodium carboxylate salt.

Drug Information Express,Drug R&D,Chemical Database,Patent Search.
Copyright © 2006-2026 Drug Future. All rights reserved.Contact Us