【药物名称】VA-033
化学结构式(Chemical Structure):
参考文献No.9982
标题:Vincaminic acid derivs.
作者:Nakatsuka, S.-I.; Hayashi, M.; Yokomori, S.; Nakashima, Y.; Hatayama, K.; Araki, H. (Taisho Pharmaceutical Co., Ltd.)
来源:EP 0307167; JP 1989156977; US 4883875
合成路线图解说明:

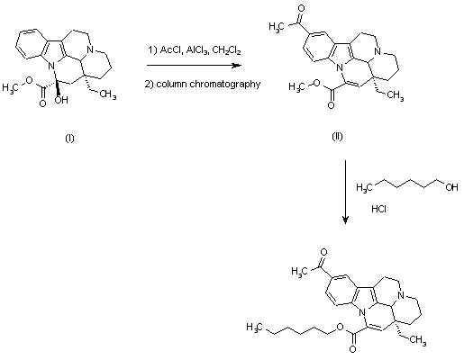
Friedel Crafts acylation of vincamine (I) with acetyl chloride and AlCl3 in dichloromethane yielded a mixture of methyl 10-acetylapovincaminate (II) and smaller amounts of the 11- and 12-acetyl derivatives, which were separated by column chromatography. Then, transesterification of methyl ester (II) with n-hexanol in the presence of HCl afforded the corresponding hexyl ester.

Drug Information Express,Drug R&D,Chemical Database,Patent Search.
Copyright © 2006-2026 Drug Future. All rights reserved.Contact Us