【药物名称】Eflucimibe, F-12511
化学结构式(Chemical Structure):
参考文献No.33519
标题:Novel 2,3,5-trimethyl-4-hydroxy anilide derivs., preparation thereof
作者:Patoiseau, J.-F.; Autin, J.-M.; Delhon, A.; Oms, P.; Junquero, D. (Pierre Fabre M閐icament)
来源:EP 0874812; FR 2741619; JP 2000500771; US 5990173; WO 9719918
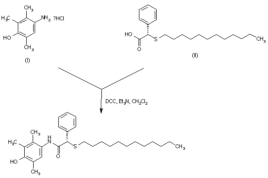
合成路线图解说明:

The title amide was synthesized by coupling 2,3,6-trimethyl-4-aminophenol hydrochloride (I) with (+)-alpha-dodecylthio-alpha-phenylacetic acid (II) in the presence of dicyclohexylcarbodiimide and triethylamine.

Drug Information Express,Drug R&D,Chemical Database,Patent Search.
Copyright © 2006-2026 Drug Future. All rights reserved.Contact Us