【药物名称】Cilengitide, NSC-707544, EMD-85189, EMD-121974
化学结构式(Chemical Structure):
参考文献No.33370
标题:Cyclic adhesion inhibitors
作者:Jonczyk, A.; Goodman, S.; Diefenbach, B.; Sutter, A.; H鰈zmann, G.; Kessler, H.; Dechantsreiter, M. (Merck Patent GmbH)
来源:DE 19534177; EP 0770622; JP 1997132593; US 6001961
合成路线图解说明:

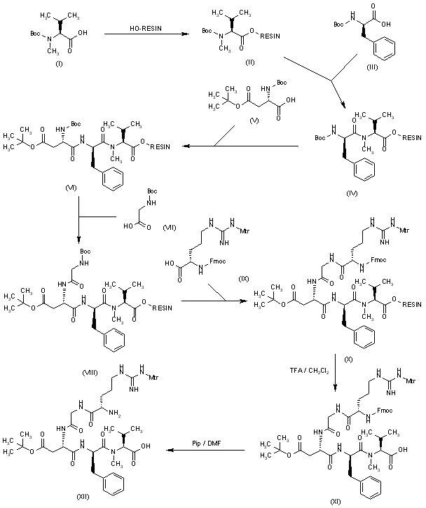
Cilengitide is synthesized using solid-phase Merrifield-type methods by sequentially adding N-Boc-N-Me-L-Val (I), N-Boc-D-Phe (III), N-Boc-4-O-t-Bu-L-Asp (V), N-Boc-Gly (VII) and Nalpha-Fmoc-Nomega-Mtr-L-Arg (IX) in a stepwise manner to a 4-hydroxymethylphenoxymethyl-polystyrene resin (Wang type resin), yielding peptide-resin intermediates (II), (IV), (VI), (VIII) and (X), respectively. Elimination of the resin from the peptide chain with a 1:1 mixture of TFA/dichloromethane results in the linear peptide (XI), which is then deprotected at the amino-terminal group by removing the Fmoc group with a 1:1 mixture of piperidine/DMF, to give peptide (XII).

合成路线图解说明:

Cyclization of (XII) by means of DPPA in DMF/dichloromethane affords the cyclic peptide (XIII), which is finally deprotected by treatment with TFA/water 98:2.

参考文献No.586439
标题:Cilengitide
作者:Graul, A.; Sorbera, L.A.; Casta馿r, J.
来源:Drugs Fut 2000,25(7),674
合成路线图解说明:

Cilengitide is synthesized using solid-phase Merrifield-type methods by sequentially adding N-Boc-N-Me-L-Val (I), N-Boc-D-Phe (III), N-Boc-4-O-t-Bu-L-Asp (V), N-Boc-Gly (VII) and Nalpha-Fmoc-Nomega-Mtr-L-Arg (IX) in a stepwise manner to a 4-hydroxymethylphenoxymethyl-polystyrene resin (Wang type resin), yielding peptide-resin intermediates (II), (IV), (VI), (VIII) and (X), respectively. Elimination of the resin from the peptide chain with a 1:1 mixture of TFA/dichloromethane results in the linear peptide (XI), which is then deprotected at the amino-terminal group by removing the Fmoc group with a 1:1 mixture of piperidine/DMF, to give peptide (XII).

合成路线图解说明:

Cyclization of (XII) by means of DPPA in DMF/dichloromethane affords the cyclic peptide (XIII), which is finally deprotected by treatment with TFA/water 98:2.

Drug Information Express,Drug R&D,Chemical Database,Patent Search.
Copyright © 2006-2026 Drug Future. All rights reserved.Contact Us