【药物名称】Eniporide mesilate, EMD-85131(HCl), YM-103, EMD-96785
化学结构式(Chemical Structure):
参考文献No.424949
标题:(2-Methyl-5-(methylsulfonyl)benzoyl)guanidine Na+/H+ antiporter inhibitors
作者:Baumgarth, M.; Beier, N.; Gericke, R.
来源:J Med Chem 1997,40(13),2017
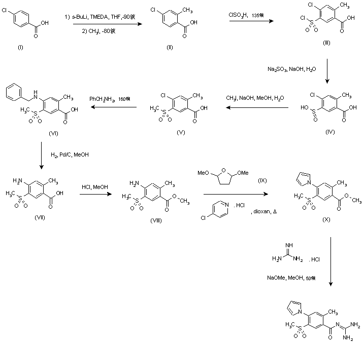
合成路线图解说明:

Ortho metalation of 4-chlorobenzoic acid (I) with 2 equivalents of sec-butyllithium in the presence of tetramethylethylenediamine (TMEDA) in THF at -90 C, followed by addition of methyl iodide at -80 C afforded 4-chloro-2-methylbenzoic acid (II). Chlorosulfonation of (II) with ClSO3H at 135 C provided (III), which was reduced to sulfinic acid (IV) by means of Na2SO3. Alkylation of the sodium salt of (IV) with methyl iodide in aqueous methanol yielded sulfone (V). Subsequent reaction with an excess of benzylamine at 160 C gave benzylaniline (VI), from which the benzyl group was removed by hydrogenolysis in the presence of Pd/C to afford primary amine (VII). Further esterification with a methanolic solution of HCl provided methyl ester (VIII). Conversion of amine (VIII) to pyrrolyl compound (X) was effected by treatment with 2,5-dimethoxytetrahydrofuran (IX) in the presence of 4-chloropyridine hydrochloride in refluxing dioxan. Finally, condensation with guanidine in methanol at 50 C furnished the title compound.

Drug Information Express,Drug R&D,Chemical Database,Patent Search.
Copyright © 2006-2026 Drug Future. All rights reserved.Contact Us