【药物名称】
化学结构式(Chemical Structure):
参考文献No.366575
标题:Na+-glucose cotransporter inhibitors as antidiabetics. I. Synthesis and pharmacological properties of 4'-dehydroxyphlorizin derivatives based on a new concept
作者:Tsujihara, K.; Hongu, M.; Saito, K.; Inamasu, M.; Arakawa, K.; Oku, A.; Matsumoto, M.
来源:Chem Pharm Bull 1996,44(6),1174
合成路线图解说明:

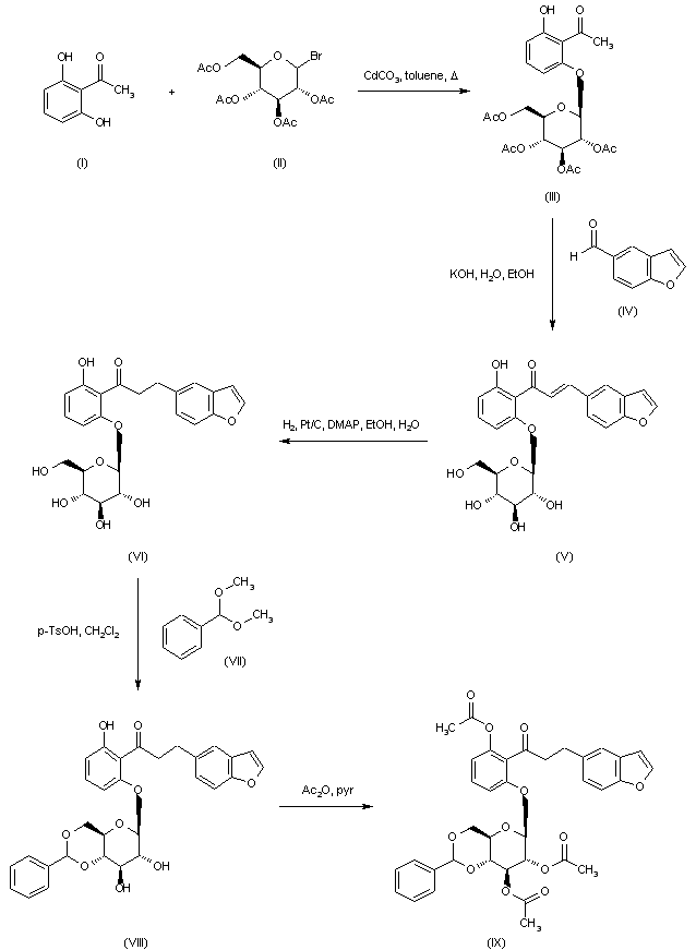
Reaction of 2,6-dihydroxyacetophenone (I) with acetylated bromoglucose (II) in the presence of CdCO3 in refluxing toluene, with water removal using a Dean Stark apparatus, afforded glycoside (III). Potassium hydroxide-promoted condensation of acetophenone (III) with benzofuran-5-carboxyaldehyde (IV), with concomitant hydrolysis of acetate esters, gave enone (V), which was hydrogenated over Pt/C in the presence of DMAP to provide dihydrochalcone derivative (VI). Treatment of (VI) with benzaldehyde dimethylacetal (VII) and p-TsOH gave benzylidene acetal (VIII). This compound was acetylated with Ac2O and pyridine to yield (IX).

合成路线图解说明:

Reaction of 2,6-dihydroxyacetophenone (I) with acetylated bromoglucose (II) in the presence of CdCO3 in refluxing toluene, with water removal using a Dean Stark apparatus, afforded glycoside (III). Potassium hydroxide-promoted condensation of acetophenone (III) with benzofuran-5-carboxyaldehyde (IV), with concomitant hydrolysis of acetate esters, gave enone (V), which was hydrogenated over Pt/C in the presence of DMAP to provide dihydrochalcone derivative (VI). Treatment of (VI) with 4-nitrophenyl chloroformate (VII) and 2,4,6-collidine gave the intermediate 6-O-(4-nitrophenylcarbonyl) compound, which is cyclized to the cyclic carbonate (VIII) by heating at 50 C. The ring opening reaction of (VIII) with TsOH and methanol afforded the target 4-O-(methoxycarbonyl) compound along with some 6-O-methoxycarbonyl isomer, which is separated by column chromatography.

参考文献No.448129
标题:Na+-Glucose cotransporter inhibitors as antidiabetic agents. II. Synthesis and structure-activity relationships of 4'-dehydroxyphlorizin derivatives
作者:Hongu, M.; Tanaka, T.; Funami, N.; Saito, K.; Arakawa, K.; Matsumoto, M.; Tsujihara, K.
来源:Chem Pharm Bull 1998,46(1),22
合成路线图解说明:

Reaction of 2,6-dihydroxyacetophenone (I) with acetylated bromoglucose (II) in the presence of CdCO3 in refluxing toluene, with water removal using a Dean Stark apparatus, afforded glycoside (III). Potassium hydroxide-promoted condensation of acetophenone (III) with benzofuran-5-carboxyaldehyde (IV), with concomitant hydrolysis of acetate esters, gave enone (V), which was hydrogenated over Pt/C in the presence of DMAP to provide dihydrochalcone derivative (VI). Treatment of (VI) with benzaldehyde dimethylacetal (VII) and p-TsOH gave benzylidene acetal (VIII). This compound was acetylated with Ac2O and pyridine to yield (IX).

合成路线图解说明:

Reaction of 2,6-dihydroxyacetophenone (I) with acetylated bromoglucose (II) in the presence of CdCO3 in refluxing toluene, with water removal using a Dean Stark apparatus, afforded glycoside (III). Potassium hydroxide-promoted condensation of acetophenone (III) with benzofuran-5-carboxyaldehyde (IV), with concomitant hydrolysis of acetate esters, gave enone (V), which was hydrogenated over Pt/C in the presence of DMAP to provide dihydrochalcone derivative (VI). Treatment of (VI) with 4-nitrophenyl chloroformate (VII) and 2,4,6-collidine gave the intermediate 6-O-(4-nitrophenylcarbonyl) compound, which is cyclized to the cyclic carbonate (VIII) by heating at 50 C. The ring opening reaction of (VIII) with TsOH and methanol afforded the target 4-O-(methoxycarbonyl) compound along with some 6-O-methoxycarbonyl isomer, which is separated by column chromatography.

参考文献No.477001
标题:Na+-glucose cotransporter inhibitors as antidiabetic agents. III. Synthesis and pharmacological properties of 4'-dehydroxyphlorizin derivatives modified at the OH groups of the glucose moiety
作者:Hongu, M.; Funami, N.; Takahashi, Y.; Saito, K.; Arakawa, K.; Matsumoto, M.; Yamakita, H.; Tsujihara, K.
来源:Chem Pharm Bull 1998,46(10),1545
合成路线图解说明:

Then, the phenolic acetate group of the resulting triacetate (IX) was selectively removed by treatment with NaHCO3 in MeOH affording (X). Subsequent hydrolysis of the benzylidene acetal of (X) with aqueous AcOH at 70 C gave diacetyl compound (XI). Finally, selective deacetylation in MeOH in the presence of p-TsOH at 40 C provided the desired 2-O-acetyl derivative accompanied by some 3-O-acetyl isomer, which was separated by column chromatography.

合成路线图解说明:

Reaction of 2,6-dihydroxyacetophenone (I) with acetylated bromoglucose (II) in the presence of CdCO3 in refluxing toluene, with water removal using a Dean Stark apparatus, afforded glycoside (III). Potassium hydroxide-promoted condensation of acetophenone (III) with benzofuran-5-carboxyaldehyde (IV), with concomitant hydrolysis of acetate esters, gave enone (V), which was hydrogenated over Pt/C in the presence of DMAP to provide dihydrochalcone derivative (VI). Treatment of (VI) with 4-nitrophenyl chloroformate (VII) and 2,4,6-collidine gave the intermediate 6-O-(4-nitrophenylcarbonyl) compound, which is cyclized to the cyclic carbonate (VIII) by heating at 50 C. The ring opening reaction of (VIII) with TsOH and methanol afforded the target 4-O-(methoxycarbonyl) compound along with some 6-O-methoxycarbonyl isomer, which is separated by column chromatography.

Drug Information Express,Drug R&D,Chemical Database,Patent Search.
Copyright © 2006-2026 Drug Future. All rights reserved.Contact Us