【药物名称】BIBO-3304
化学结构式(Chemical Structure):
参考文献No.33517
标题:Amino acid derivs., pharmaceutical compsns. containing these cpds. and processes for preparing them
作者:Engel, W.; Eberlein, W.; Rudolf, K.; Doods, H.; Wieland, H.-A.; Willim, K.-D.; Entzeroth, M.; Wienen, W. (Dr. Karl Thomae GmbH)
来源:DE 19544687; EP 0885186; WO 9719911
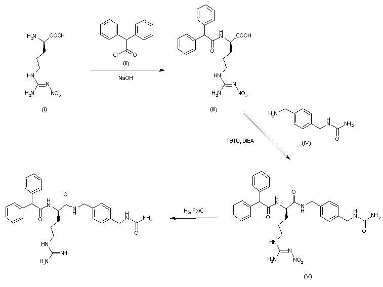
合成路线图解说明:

The reaction of Nomega'-nitro-D-arginine (I) with 2,2-diphenylacetyl chloride (II) by means of NaOH in THF/water gives the expected Nalpha-diphenylacetyl derivative (III), which is condensed with 4-(ureidomethyl)benzylamine (IV) by means of TBTU and DIEA in THF to yield the corresponding amide (V). Finally, this compound is hydrogenated with H2 over Pd/C in aqueous acetic acid in order to eliminate the Nomega'-nitro group and treated with trifluoroacetic acid to provide the target compound.

Drug Information Express,Drug R&D,Chemical Database,Patent Search.
Copyright © 2006-2026 Drug Future. All rights reserved.Contact Us