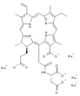
【药物名称】Talaporfin sodium, Mono-L-aspartyl chlorin e6, LS-11, ME-2906, NPe6, Laserphyrin
化学结构式(Chemical Structure):
参考文献No.25794
标题:Tetrapyrrole carboxylic acid derivs. for diagnosis and/or therapy of arthritis
作者:Aizawa, K.; Kuroiwa, Y. (Nippon Petrochemicals Co., Ltd.)
来源:EP 0629409; US 5430051
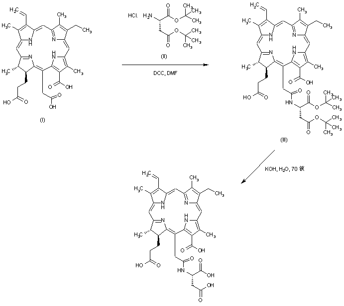
合成路线图解说明:

Coupling of chlorin e6 (I) with L-aspartic acid di-t-butyl ester (II) in the presence of DCC gave rise to amide (III). The ester groups were then hydrolyzed using a 1 M solution of KOH.

参考文献No.545527
标题:The structures of mono-L-aspartyl chlorin e6 and its related compounds
作者:Gomi, S.; et al.
来源:Heterocycles 1998,48(11),2231
合成路线图解说明:

Coupling of chlorin e6 (I) with L-aspartic acid di-t-butyl ester (II) in the presence of DCC gave rise to amide (III). The ester groups were then hydrolyzed using a 1 M solution of KOH.

Drug Information Express,Drug R&D,Chemical Database,Patent Search.
Copyright © 2006-2026 Drug Future. All rights reserved.Contact Us