【药物名称】
化学结构式(Chemical Structure):
参考文献No.477032
标题:A stereoselective alpha-fucosylation reaction using 1-hydroxy 2,3,4-tri-O-benzyl-L-fucose donor for the practical synthesis of selectin blocker
作者:Kiyoi, T.; Kondo, H.
来源:Bioorg Med Chem Lett 1998,8(20),2845
合成路线图解说明:

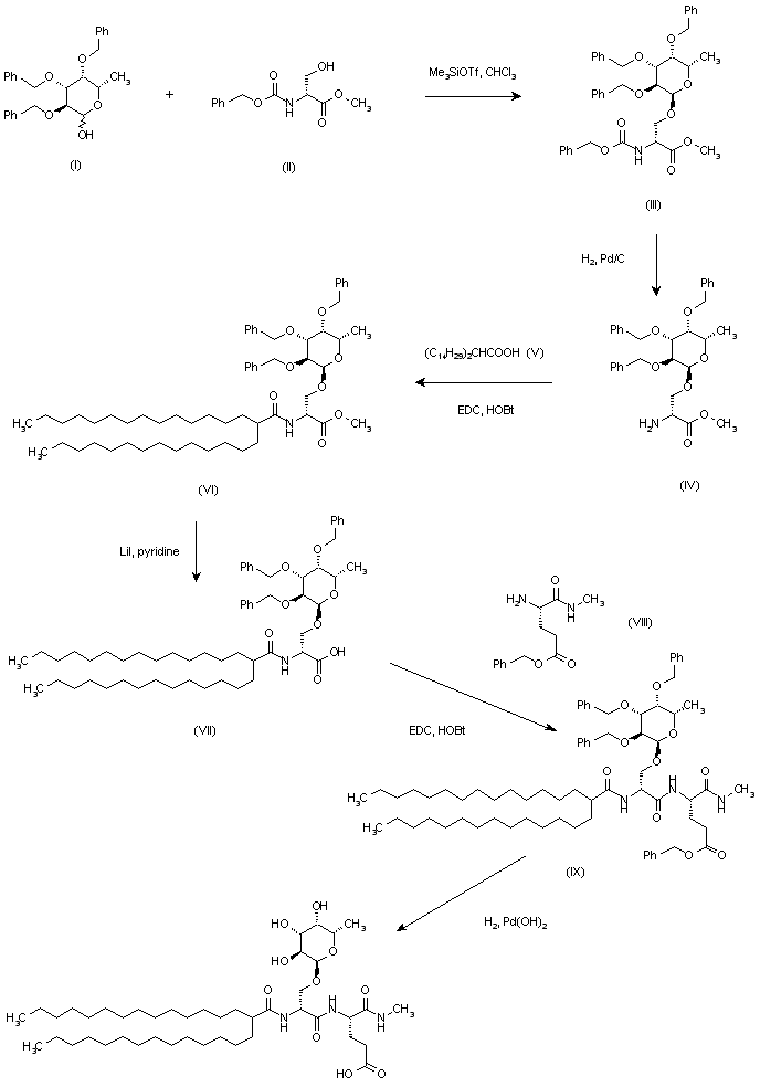
Condensation of protected fucopyranose (I) with Z-serine methyl ester (II) in the presence of trimethylsilyl triflate afforded fucosylated serine derivative (III). Then, selective elimination of benzyloxycarbonyl group was performed by hydrogenolysis in the presence of Pd/C to give amine (IV). Subsequent coupling with acid (V) using EDC and HOBt as the condensing reagents provided amide (VI). Hydrolysis of ester group of (VI) by treatment with LiI in pyridine gave acid (VII), which was condensed with glutamic acid derivative (VIII) to yield (IX). Finally, debenzylation of (IX) by hydrogenolysis in the presence of Pd(OH)2 provided the target compound.

Drug Information Express,Drug R&D,Chemical Database,Patent Search.
Copyright © 2006-2026 Drug Future. All rights reserved.Contact Us