【药物名称】LY-389795
化学结构式(Chemical Structure):
参考文献No.33416
标题:Excitatory amino acid derivs.
作者:Massey, S.M.; Monn, J.A.; Valli, M.J. (Eli Lilly and Company)
来源:EP 0774461; JP 2000500748; WO 9718199
合成路线图解说明:

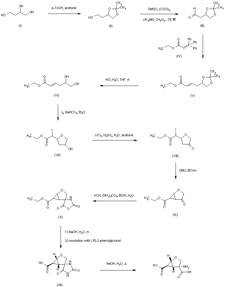
Treatment of 1,2,4-butanetriol (I) with acetone and p-toluenesulfonic acid gave the isopropylidene ketal (II). Subsequent Swern oxidation of the unprotected alcohol group of (II) produced aldehyde (III), which was condensed with phosphorane (IV) to afford unsaturated ester (V). Ketal hydrolysis of (V) gave ethyl 5,6-dihydroxy-2-hexenoate (VI), which was cyclized by means of iodine and NaHCO3 to produce the (tetrahydrofuranyl)-2-iodoacetate (VII). Further oxidation of the hydroxyl group of (VII) by means of Jones reagent yielded iodoketone (VIII). This was cyclized in the presence of DBU to generate the bicyclic compound (IX). The Bucherer-Bergs reac-tion of (IX) with potassium cyanide and ammonium carbonate produced the spiro hydantoin (X). Resolution of (X) was then achieved by ethyl ester hydrolysis, followed by recrystallization of the corresponding diastereomeric salt with (R)-2-phenylglycinol. Basic hydrolysis of the hydantoin ring of the required isomer (XII) then yielded the title compound.

合成路线图解说明:

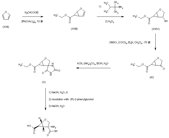
Cycloaddition of ethyl diazoacetate to furan (XXII) in the presence of dirhodium tetraacetate gave bicyclic compound (XXIII). Hydroboration of the olefin group of (XXIII) with tert-hexylborane, followed by oxidative treatment with hydrogen peroxide provided alcohol (XXIV), which was oxidized to ketone (IX) under Swern conditions. The title compound was then obtained as above by formation of hydantoin (X), ester hydrolysis, resolution as before, and hydrolysis of the hydantoin.

合成路线图解说明:

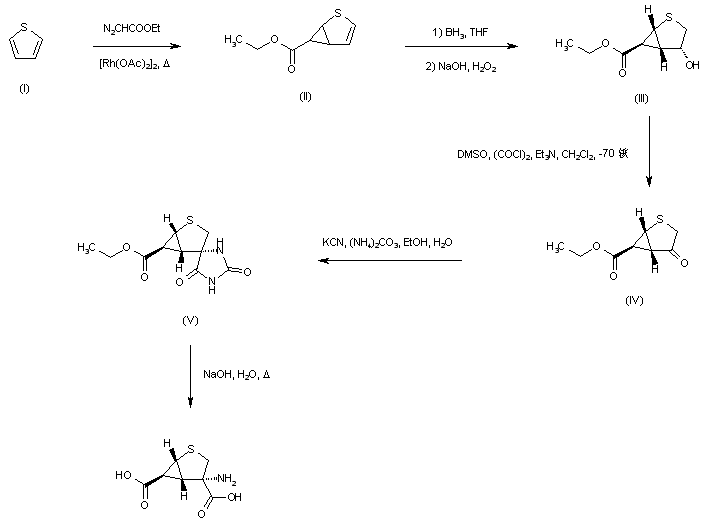
Cycloaddition of ethyl diazoacetate to thiophene (I) in the presence of dirhodium tetraacetate gave bicyclic compound (II). Hydroboration of the olefin double bond of (II), followed by oxidative treatment with hydrogen peroxide provided alcohol (III), which was oxidized to ketone (IV) under Swern conditions. The Bucherer-Bergs reaction of (IV) with potassium cyanide and ammonium carbonate produced the spiro hydantoin (V). Hydrolysis of the hydantoin ring in boiling aqueous NaOH then yielded the title compound.

参考文献No.34578
标题:Excitatory amino acid derivs.
作者:Massey, S.M.; Monn, J.A.; Valli, M.J. (Eli Lilly and Company)
来源:US 5688826
合成路线图解说明:

Treatment of 1,2,4-butanetriol (I) with acetone and p-toluenesulfonic acid gave the isopropylidene ketal (II). Subsequent Swern oxidation of the unprotected alcohol group of (II) produced aldehyde (III), which was condensed with phosphorane (IV) to afford unsaturated ester (V). Ketal hydrolysis of (V) gave ethyl 5,6-dihydroxy-2-hexenoate (VI), which was cyclized by means of iodine and NaHCO3 to produce the (tetrahydrofuranyl)-2-iodoacetate (VII). Further oxidation of the hydroxyl group of (VII) by means of Jones reagent yielded iodoketone (VIII). This was cyclized in the presence of DBU to generate the bicyclic compound (IX). The Bucherer-Bergs reac-tion of (IX) with potassium cyanide and ammonium carbonate produced the spiro hydantoin (X). Resolution of (X) was then achieved by ethyl ester hydrolysis, followed by recrystallization of the corresponding diastereomeric salt with (R)-2-phenylglycinol. Basic hydrolysis of the hydantoin ring of the required isomer (XII) then yielded the title compound.

合成路线图解说明:

In a related procedure, the chiral triol (XIII) was protected as the ketal (XIV), and then oxidized to aldehyde (XV). Subsequent Wittig condensation of (XV) with phosphorane (IV) afforded unsaturated ester (XVI). After ketal hydrolysis of (XVI), cyclization by means of I2 and NaHCO3 yielded cyclic ether (XVIII). Oxidation of (XVIII) to ketone (XIX) and cyclization in the presence of DBU produced bicyclic compound (XX). This was converted to the chiral spiro hydantoin (XXI) with KCN and (NH4)2CO3 and finally hydrolyzed with NaOH to give the corresponding dicarboxylic acid.

合成路线图解说明:

Cycloaddition of ethyl diazoacetate to furan (XXII) in the presence of dirhodium tetraacetate gave bicyclic compound (XXIII). Hydroboration of the olefin group of (XXIII) with tert-hexylborane, followed by oxidative treatment with hydrogen peroxide provided alcohol (XXIV), which was oxidized to ketone (IX) under Swern conditions. The title compound was then obtained as above by formation of hydantoin (X), ester hydrolysis, resolution as before, and hydrolysis of the hydantoin.

合成路线图解说明:

Cycloaddition of ethyl diazoacetate to thiophene (I) in the presence of dirhodium tetraacetate gave bicyclic compound (II). Hydroboration of the olefin double bond of (II), followed by oxidative treatment with hydrogen peroxide provided alcohol (III), which was oxidized to ketone (IV) under Swern conditions. The Bucherer-Bergs reaction of (IV) with potassium cyanide and ammonium carbonate produced the spiro hydantoin (V). Hydrolysis of the hydantoin ring in boiling aqueous NaOH then yielded the title compound.

参考文献No.38128
标题:Treatment for premenstrual dysphoric disorder
作者:Levine, L.R. (Eli Lilly and Company)
来源:WO 9832436
合成路线图解说明:

Treatment of 1,2,4-butanetriol (I) with acetone and p-toluenesulfonic acid gave the isopropylidene ketal (II). Subsequent Swern oxidation of the unprotected alcohol group of (II) produced aldehyde (III), which was condensed with phosphorane (IV) to afford unsaturated ester (V). Ketal hydrolysis of (V) gave ethyl 5,6-dihydroxy-2-hexenoate (VI), which was cyclized by means of iodine and NaHCO3 to produce the (tetrahydrofuranyl)-2-iodoacetate (VII). Further oxidation of the hydroxyl group of (VII) by means of Jones reagent yielded iodoketone (VIII). This was cyclized in the presence of DBU to generate the bicyclic compound (IX). The Bucherer-Bergs reac-tion of (IX) with potassium cyanide and ammonium carbonate produced the spiro hydantoin (X). Resolution of (X) was then achieved by ethyl ester hydrolysis, followed by recrystallization of the corresponding diastereomeric salt with (R)-2-phenylglycinol. Basic hydrolysis of the hydantoin ring of the required isomer (XII) then yielded the title compound.

合成路线图解说明:

Cycloaddition of ethyl diazoacetate to furan (XXII) in the presence of dirhodium tetraacetate gave bicyclic compound (XXIII). Hydroboration of the olefin group of (XXIII) with tert-hexylborane, followed by oxidative treatment with hydrogen peroxide provided alcohol (XXIV), which was oxidized to ketone (IX) under Swern conditions. The title compound was then obtained as above by formation of hydantoin (X), ester hydrolysis, resolution as before, and hydrolysis of the hydantoin.

合成路线图解说明:

Cycloaddition of ethyl diazoacetate to thiophene (I) in the presence of dirhodium tetraacetate gave bicyclic compound (II). Hydroboration of the olefin double bond of (II), followed by oxidative treatment with hydrogen peroxide provided alcohol (III), which was oxidized to ketone (IV) under Swern conditions. The Bucherer-Bergs reaction of (IV) with potassium cyanide and ammonium carbonate produced the spiro hydantoin (V). Hydrolysis of the hydantoin ring in boiling aqueous NaOH then yielded the title compound.

Drug Information Express,Drug R&D,Chemical Database,Patent Search.
Copyright © 2006-2026 Drug Future. All rights reserved.Contact Us