【药物名称】Orbofiban acetate, CS-511, SC-57099B
化学结构式(Chemical Structure):
参考文献No.33602
标题:Process for the preparation of amidino phenyl pyrrolidine betal-alanine urea analogs
作者:Abood, N.A.; Flynn, D.L.; Laneman, S.A.; Nosal, R.; Schretzman, L.A. (Pharmacia Corp.)
来源:US 5484946
合成路线图解说明:

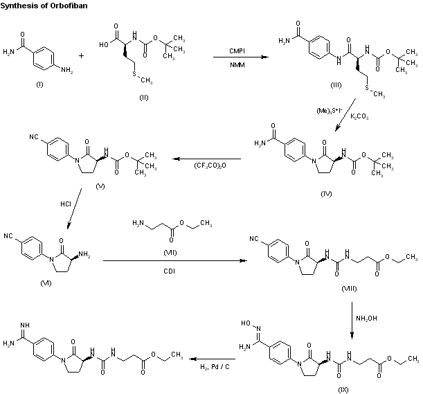
The condensation of 4-aminobenzamide (I) with N-(tert-butoxycarbonyl)-L-methionine (II) by means of 2-chloro-1-methylpyridinium iodide (CMPI) and N-methylmorpholine (NMM) in DMF gives the corresponding methioninamide (III), which is cyclized by means of trimethylsulfonium iodide and K2CO3 in hot DMSO yielding the pyrrolidinone (IV). The dehydration of (IV) with trifluoroacetic anhydride in THF affords the corresponding nitrile (V), which is deprotected with dry HCl in ethyl acetate giving the amine (VI). The condensation of (VI) with beta-alanine ethyl ester (VII) and carbonyl diimidazole (CDI) in pyridine yields the substituted urea (VIII), which is treated with hydroxylamine hydrochloride and triethylamine in ethyl acetate to afford the N-hydroxybenzamidine (IX). Finally, this compound is hydrogenated with H2 over Pd/C in acetic acid.

参考文献No.473093
标题:Orbofiban Acetate
作者:Casta馿r, J.; Merlos, M.; Leeson, P.A.
来源:Drugs Fut 1998,23(11),1190-1198
合成路线图解说明:

The condensation of 4-aminobenzamide (I) with N-(tert-butoxycarbonyl)-L-methionine (II) by means of 2-chloro-1-methylpyridinium iodide (CMPI) and N-methylmorpholine (NMM) in DMF gives the corresponding methioninamide (III), which is cyclized by means of trimethylsulfonium iodide and K2CO3 in hot DMSO yielding the pyrrolidinone (IV). The dehydration of (IV) with trifluoroacetic anhydride in THF affords the corresponding nitrile (V), which is deprotected with dry HCl in ethyl acetate giving the amine (VI). The condensation of (VI) with beta-alanine ethyl ester (VII) and carbonyl diimidazole (CDI) in pyridine yields the substituted urea (VIII), which is treated with hydroxylamine hydrochloride and triethylamine in ethyl acetate to afford the N-hydroxybenzamidine (IX). Finally, this compound is hydrogenated with H2 over Pd/C in acetic acid.

Drug Information Express,Drug R&D,Chemical Database,Patent Search.
Copyright © 2006-2026 Drug Future. All rights reserved.Contact Us