【药物名称】Aplindore fumarate, Palindore fumarate, WAY-135452, DAB-452, WAY-DAB-452
化学结构式(Chemical Structure):
参考文献No.33378
标题:Dioxino derivs. and their use as dopamine agonists
作者:Stack, G.P.; Mewshaw, R.E.; Bravo, B.A.; Kang, Y.H. (Wyeth)
来源:EP 0771800; JP 1997249671; US 5756532
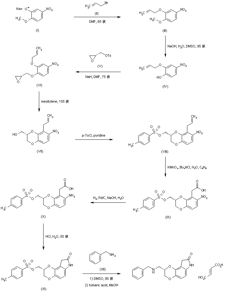
合成路线图解说明:

Alkylation of the sodium salt of 5-nitroguaiacol (I) with allyl bromide (II) gave the allyl ether (III). The methoxy group of (III) was then displaced by NaOH in hot DMSO to produce 2-(allyloxy)-4-nitrophenol (IV), which was further alkylated with (R)-glycidyl tosylate (V), yielding the chiral oxirane (VI). Claisen rearrangement of the allyl ether function of (VI), followed by intramolecular cyclization between the phenol and epoxide groups in hot mesitylene furnished the benzodioxane derivative (VII). Treatment of (VII) with p-toluenesulfonyl chloride afforded tosylate (VIII). Oxidative cleavage of the allyl group of (VIII) with KMnO4 under phase-transfer conditions gave rise to the carboxylic acid (IX). Catalytic hydrogenation of the nitro group of (IX), followed by lactamization of the resultant aminoacid (X) under acidic conditions produced the dioxinoindolone system (XI). Then, nucleophilic displacement of the tosylate group of (XI) with benzylamine (XII) yielded the desired amine, which was finally converted to the corresponding fumarate salt.

Drug Information Express,Drug R&D,Chemical Database,Patent Search.
Copyright © 2006-2026 Drug Future. All rights reserved.Contact Us