【药物名称】Tecadenoson , CVT-510
化学结构式(Chemical Structure):
参考文献No.36753
标题:N6 Heterocyclic substd. adenosine derivs.
作者:Lum, R.T.; Pfister, J.R.; Schow, S.R.; Wick, M.M.; Nelson, M.G.; Schreiner, G.F. (CV Therapeutics, Inc.)
来源:EP 0920438; EP 0992510; JP 2000501426; US 5789416; WO 9808855
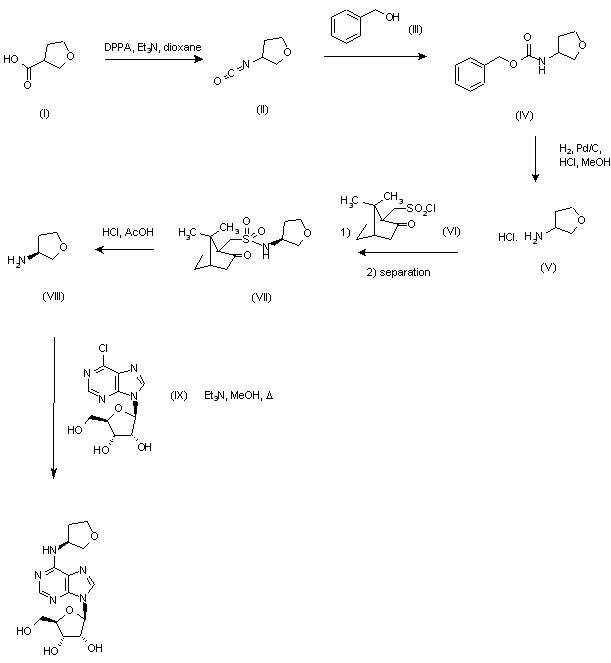
合成路线图解说明:

The reaction of 3-tetrahydrofuroic acid (I) with diphenyl phosphoryl azide (DPPA) in refluxing dioxane gave the intermediate isocyanate (II), which was treated with benzyl alcohol (III) to yield carbamate (IV). Subsequent hydrogenolysis in the presence of Pd/C afforded racemic amine (V), which was resolved by treatment with S-(+)-10-camphorsulfonyl chloride (VI) in pyridine, followed by column chromatography and recrystallization from acetone of the resulting sulfonamide (VII). Then, hydrolysis in HCl-AcOH provided the S-amine (VIII). Condensation of amine (VIII) with 6-chloropurine riboside (IX) in the presence of triethylamine in refluxing MeOH furnished the title compound.

参考文献No.695422
标题:Tecadenoson
作者:Sorbera, L.A.; Bay閟, M.; Casta馿r, J.; Mart韓, L.
来源:Drugs Fut 2002,27(9),846
合成路线图解说明:

The reaction of 3-tetrahydrofuroic acid (I) with diphenyl phosphoryl azide (DPPA) in refluxing dioxane gave the intermediate isocyanate (II), which was treated with benzyl alcohol (III) to yield carbamate (IV). Subsequent hydrogenolysis in the presence of Pd/C afforded racemic amine (V), which was resolved by treatment with S-(+)-10-camphorsulfonyl chloride (VI) in pyridine, followed by column chromatography and recrystallization from acetone of the resulting sulfonamide (VII). Then, hydrolysis in HCl-AcOH provided the S-amine (VIII). Condensation of amine (VIII) with 6-chloropurine riboside (IX) in the presence of triethylamine in refluxing MeOH furnished the title compound.

Drug Information Express,Drug R&D,Chemical Database,Patent Search.
Copyright © 2006-2026 Drug Future. All rights reserved.Contact Us