【药物名称】ZK-805412(free base)
化学结构式(Chemical Structure):
参考文献No.469825
标题:(Z,Z)-2,7-Bis(4-amidinobenzylidene)cycloheptan-1-one: Identification of a highly active inhibitor of blood coagulation factor Xa
作者:Shaw, K.J.; Guilford, W.J.; Dallas, J.L.; Koovakkaat, S.K.; McCarrick, M.A.; Liang, A.; Light, D.R.; Morrissey, M.M.
来源:J Med Chem 1998,41(19),3551-3556
合成路线图解说明:

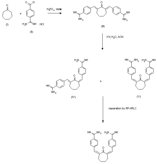
Aldol condensation of cycloheptanone (I) with two molecules of 4-amidinobenzaldehyde.HCl (II) in 85% phosphoric acid at 100 C provided the E,E-bis(benzylidene) compound (III). Photoisomerization of (III) in a H2O-acetonitrile solution produced an equilibrium mixture of a 55% of E,Z isomer (IV), a 40% of Z,Z isomer (V), and < 5% of the starting E,E isomer (III), which were separated by reverse-phase HPLC.

参考文献No.615705
标题:Total synthesis and radiolabelling of an efficient rt-PA inhibitor: [11C] (Z,Z)-BABCH. A first route to [11C] labelled amidines
作者:Simeon, F.; et al.
来源:J Chem Soc - Perkins Trans I 2001,(7),690
合成路线图解说明:

The condensation of cycloheptanone (I) with 4-iodobenzaldehyde (II) gives the (E,E)-bis-benzylidene derivative (III), which by irradiation with UV light is converted into the (Z,Z)-isomer (IV). The reaction of (IV) with CuCN in DMF affords the mono-cyano derivative (V), which is then treated with Cu-11CN in DMF to provide the labeled dicyano derivative (VI). Finally, this compound is treated with ammonia in methanol to afford the target labeled bis-amidino derivative.

Drug Information Express,Drug R&D,Chemical Database,Patent Search.
Copyright © 2006-2026 Drug Future. All rights reserved.Contact Us