【药物名称】
化学结构式(Chemical Structure):
参考文献No.421302
标题:Synthesis and antitumor activity of water-soluble enediyne compounds related to dynemicin A
作者:Unno, R.; Michishita, H.; Inagaki, H.; Suzuki, Y.; Baba, Y.; Jomori, T.; Nishikawa, T.; Isobe, M.
来源:Bioorg Med Chem 1997,5(5),987-999
合成路线图解说明:

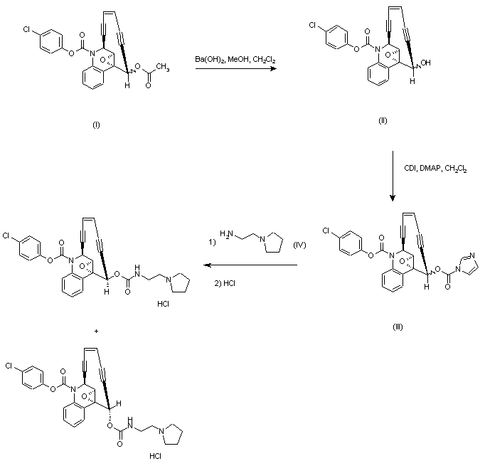
Enediyne compound (I) as an unseparable 2:1 mixture of diastereoisomers was hydrolyzed with barium hydroxide in methanol-dichloromethane at 0 C to provide a mixture of alcohols (II), which were immediately converted into carbonyl imidazole intermediates (III) by treatment with carbonyldiimidazole (CDI) and 4-(dimethylamino)pyridine (DMAP) in cold dichloromethane. Reaction of (III) with an excess of 2-(1-pyrrolidinyl)ethylamine (IV) in dichloromethane at 0 C yielded a 2:1 mixture of diastereoisomeric carbamates, which on treatment with 0.01 M HCl gave the corresponding hydrochlorides.

Drug Information Express,Drug R&D,Chemical Database,Patent Search.
Copyright © 2006-2026 Drug Future. All rights reserved.Contact Us