【药物名称】
化学结构式(Chemical Structure):
参考文献No.421304
标题:Structure-activity relationships of cyclic enediynes related to dynemicin A-I. Synthesis and antitumor activity of 9-acetoxy enediynes equipped with aryl carbamate moieties
作者:Unno, R.; Michishita, H.; Inagaki, H.; Suzuki, Y.; Baba, Y.; Jomori, T.; Nishikawa, T.; Isobe, M.
来源:Bioorg Med Chem 1997,5(5),883
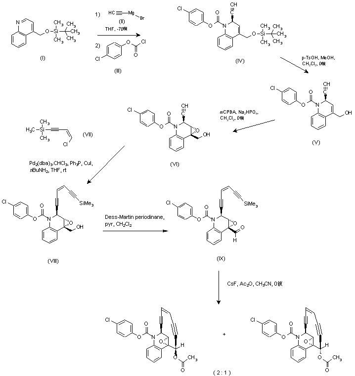
合成路线图解说明:

Treatment of quinoline (I) with ethynylmagnesium bromide (II) in THF at low temperature, and then with 4-chlorophenyl chloroformate (III) gave carbamate (IV). Subsequent deprotection of tert-butyldimethylsilyl group with p-toluenesulfonic acid yielded allyl alcohol (V), and this was stereoselectively epoxidized with m-chloroperbenzoic acid to give epoxyalcohol (VI). Coupling of (VI) with vinyl chloride (VII) in the presence of Pd(0)-CuI catalyst provided the enediyne compound (VIII). This was oxidized with Dess-Martin periodinane reagent to the aldehyde (IX). Finally, CsF-promoted cyclization in the presence of acetic anhydride provided the title compound as a 2:1 mixture of diastereoisomers, which could not be separated.

合成路线图解说明:

Compound (I) as a 2:1 mixture of diastereoisomers was hydrolyzed with barium hydroxide to afford a mixture of alcohols (II). Further reaction with thiocarbonyldiimidazole (III) and dimethylamino-pyridine (DMAP) gave thiocarbamate (IV), which was finally reduced with tributyltin hydride and azabis(isobutyronitrile) (AIBN) in refluxing benzene.

Drug Information Express,Drug R&D,Chemical Database,Patent Search.
Copyright © 2006-2026 Drug Future. All rights reserved.Contact Us