【药物名称】PNU-167532
化学结构式(Chemical Structure):
参考文献No.477037
标题:4-Phenyl-4-oxo-butanoic acid derivatives inhibitors of kynurenine 3-hydroxylase
作者:Giordani, A.; Pevarello, P.; Cini, M.; Bormetti, R.; Greco, F.; Toma, S.; Speciale, C.; Varasi, M.
来源:Bioorg Med Chem Lett 1998,8(20),2907
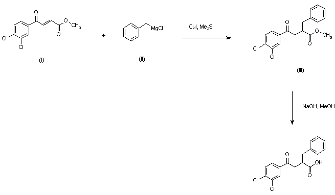
合成路线图解说明:

Conjugate addition of benzylmagnesium chloride (II) to unsaturated ketone (I) in the presence of cuprous iodide-dimethyl sulfide complex afforded the 2-benzyl derivative (III). Then, the ester function was saponified with NaOH in MeOH to give the title acid. Resolution of the enantiomers was effected by fractional crystallization of the ephedrine salts.

Drug Information Express,Drug R&D,Chemical Database,Patent Search.
Copyright © 2006-2026 Drug Future. All rights reserved.Contact Us