【药物名称】KT-6587, CEP-751
化学结构式(Chemical Structure):
参考文献No.559325
标题:Synthetic process development of antitumor agent KT 6587, an indolocarbazole alkaloid K 252a derivative
作者:Kinugawa, M.; et al.
来源:Org Process Res Dev 1999,3(2),131
合成路线图解说明:

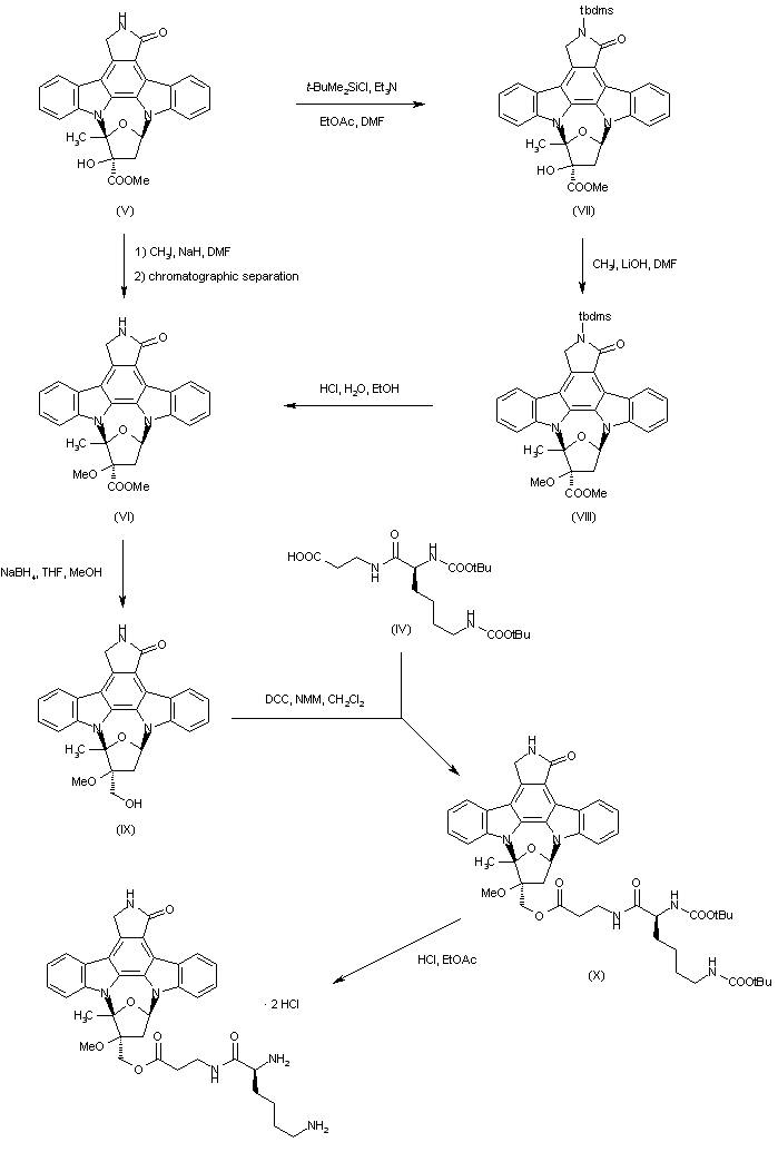
Preparation of intermediate (VI) has been reported by two related ways. The nonselective methylation of alkaloid K252a (V) with methyl iodide in the presence of NaH yielded the required O-methyl compound (VI) along with the N-methyl and the N,O-dimethyl derivatives, which were separated by silica gel chromatography. A large-scale process for the regioselective synthesis of ether (VI) was further developed. Selective protection of the amide group of (V) with tert-butyldimethylsilyl chloride gave the N-silyl derivative (VII), which was O-methylated with methyl iodide to afford methyl ether (VIII). Desilylation under acidic conditions then gave (VI). Subsequent reduction of the ester group of (VI) with with NaBH4 in THF/MOH provided alcohol (IX). This was coupled with dipeptide (IV) using DCC and NMM to afford ester (X). The Boc protecting groups were finally cleaved by treatment with HCl in EtOAc.

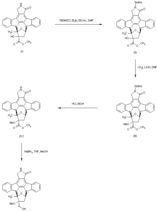
合成路线图解说明:

A new process, able for the large-scale preparation of the title compound has been developed. Selective N-silylation of the amide group of alkaloid (I) with tert-butyl dimethylsilyl chloride afforded (II). Subsequent O-methylation of (II) with iodomethane and LiOH gave methyl ether (III), which was desilylated to (IV) under aqueous acid conditions. Finally, reduction of the ester group of (IV) with NaBH4 afforded the title compound.

Drug Information Express,Drug R&D,Chemical Database,Patent Search.
Copyright © 2006-2026 Drug Future. All rights reserved.Contact Us