【药物名称】J-104871
化学结构式(Chemical Structure):
参考文献No.458751
标题:A new class of highly potent farnesyl diphosphate-competitive inhibitors of farnesyltransferase
作者:Aoyama, T.; Satoh, T.; Yonemoto, M.; Shibata, J.; Nonoshita, K.; Arai, S.; Kawakami, K.; Iwasawa, Y.; Sano, H.; Tanaka, K.; Monden, Y.; Kodera, T.; Arakawa, H.; Suzuki-Takahashi, I.; Kamei, T.; Tomimoto, K.
来源:J Med Chem 1998,41(2),143
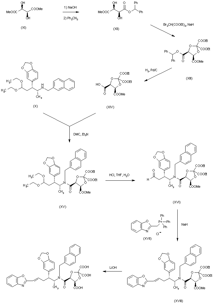
合成路线图解说明:

Intermediate amine (X) was prepared as follows: Alkylation of 3,4-(methylenedioxy)phenylacetone (I) with iodoacetaldehyde diethyl acetal (II) provided racemic ketone (III), which was diastereoselectively reduced to alcohol (IV) with L-Selectride. Resolution was effected by esterification with (R)-alpha-methoxyphenylacetic acid, followed by chromatographic separation of the diastereoisomeric esters. The required isomer (V) was hydrolyzed under alkaline conditions and the resulting alcohol was converted to mesylate (VI) by treatment with methanesulfonyl chloride and Et3N. Displacement of the mesylate group of (VI) with NaN3 with inversion of the configuration yielded azide (VII), which was reduced to amine (VIII) using PPh3. Then, reductive condensation of (VIII) with 2-naphthalenecarboxaldehyde in the presence of NaBH4 afforded the secondary amine (X).

合成路线图解说明:

Partial hydrolysis of dimethyl D-tartrate (XI), followed by esterification with diphenyldiazomethane provided benzhydryl methyl tartrate (XII). Subsequent condensation of (XII) with diethyl dibromomalonate in the presence of NaH produced dioxolane (XIII). Hydrogenolytic removal of the benzhydryl ester of (XIII) using Pd/C gave carboxylic acid (XIV), which was coupled with the intermediate amine (X) by means of 2-chloro-1,3-dimethylimidazolium chloride (DMC) to furnish amide (XV). Acid hydrolysis of the diethyl acetal of (XV) gave aldehyde (XVI). This was condensed with the benzoxazolylmethyl phosphonium salt (XVII) in the presence of NaH to yield the trans olefin (XVIII). Finally, hydrolysis of the ester groups of (XVIII) with LiOH provided the title tricarboxylic acid.

Drug Information Express,Drug R&D,Chemical Database,Patent Search.
Copyright © 2006-2026 Drug Future. All rights reserved.Contact Us