【药物名称】
化学结构式(Chemical Structure):
参考文献No.115585
标题:Synthesis and structure activity relationships of anti-inflammatory 9,10-dihydro-9-oxo-2-acridine-alkanoic acids and 4-(2-carboxyphenyl)aminobenzenealkanoic acids
作者:Taraporewala, I.B.; Kauffman, J.M.
来源:J Pharm Sci 1990,79(2),173
合成路线图解说明:

Camprofen has been synthesized previously by Picciola as a chemical intermediate in the preparation of an indazolylpropionic acid, but was apparently not itself evaluated for antiinflammatory activity during that study. The synthetic approach (scheme 16191901a), begins with 1-chloro-4-nitrobenzene (I), which is readily available commercially. Treatment of (I) with the carbanion derived from diethyl methylmalonate (using sodium hydride as base, in N,N-dimethylformamide) provides the intermediate diethyl ester (II), which is saponified in situ and then acidified to the acid (IIIa). Crude (IIIa) is then esterified to the methyl ester (IIIb), purified by column chromatography, the sequence being analogous to that of Hino et al. The nitrophenyl ester (IIIb) is dissolved in 95% ethanol and hydrogenated in the presence of palladium catalyst to provide the 4-aminophenyl compound (IV). Finally, an Ullmann-Jourdan condensation of (IV) with 2-chlorobenzoic acid in the presence of anhydrous potassium carbonate, activated copper powder and N,N-methylformamide provides camprofen. This synthetic scheme uses cheap and readily available reagents and provides racemic camprofen in an overall yield of 52% based on 1-chloro-4-nitrobenzene (I).

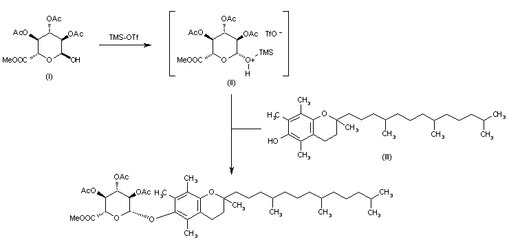
合成路线图解说明:

By condensation of D-glucopyranuronic acid methyl ester (I) with 2,5,7,8-tetramethyl-2-(4,8,12-trimethyltridecyl)-3,4-dihydro-2H-1-benzopyran-6-ol (III) by means of Tms-OTf.

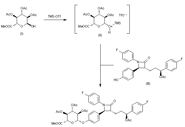
合成路线图解说明:

By condensation of D-glucopyranuronic acid methyl ester (I) with (3R,4S)-3-[3-acetoxy-3-(4-fluorophenyl)propyl]-1-(4-fluorophenyl)-4-(4-hydroxyphenyl)azetidin-2-one (III) by means of Tms-OTf.

Drug Information Express,Drug R&D,Chemical Database,Patent Search.
Copyright © 2006-2026 Drug Future. All rights reserved.Contact Us