【药物名称】NO-aspirin, m-NO-ASA, NO-ASA, NCX-4016
化学结构式(Chemical Structure):
参考文献No.47683
标题:Synthesis method of nitroxymethylphenyl esters of aspirin derivs.
作者:Garufi, M.; Del Soldato, P. (NicOx SA)
来源:WO 0044705
合成路线图解说明:

Alternatively, coupling of 3-hydroxybenzaldehyde (I) with acetylsalicyloyl chloride (II) by means of Et3N in dichloromethane affords 2-acetoxybenzoic acid 3-formyl-phenyl ester (IV), which is then reduced by hydrogenation over Pd/C in ethyl acetate to provide alcohol (III). Chlorination of alcohol (III) by treatment with thionyl chloride in DMF gives the chloromethyl derivative (V), which is finally converted to NCX-4016 by treatment with AgNO3 in refluxing acetonitrile.

合成路线图解说明:

In a related procedure, indomethacin chloride (III) was coupled with 3-hydroxybenzaldehyde (IV) to yield ester (V). Catalytic hydrogenation of the formyl group of (V) over Pd/C produced alcohol (VI), which was further converted to chloride (VII) upon treatment with SOCl2. The chloride group of (VII) was finally displaced with silver nitrate to furnish the corresponding nitrate ester.

参考文献No.53852
标题:A process for obtaining (nitroxymethyl)phenyl esters of salicylic acid derivs.
作者:Benedini, F.; Razzetti, G.; Castaldi, G.; Oldani, E. (NicOx SA)
来源:WO 0104082
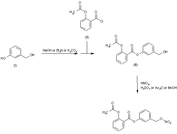
合成路线图解说明:

Basic treatment of 3-hydroxybenzyl alcohol (I) with either NaOH in dichloromethane, Et3N in toluene or K2CO3 in acetone, followed by reaction with acetylsalicyloyl chloride (II) in the respective solvents, gives 2-acetoxybenzoic acid 3-(hydroxymethyl)phenyl ester (III). NCX-4016 is obtained by nitration of compound (III) with steaming nitric acid in dichloromethane in the presence of either sulfuric acid, acetic anhydride or methanesulfonic acid.

参考文献No.432865
标题:NCX-4016
作者:Cirino, G.; et al.
来源:Drugs Fut 1997,22(11),1231
合成路线图解说明:

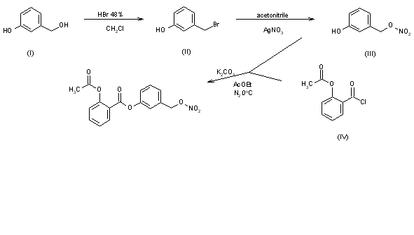
A mixture of 3-hydroxybenzyl alcohol (I) with 48% hydrobromic acid in dichloromethane is stirred at room temperature to give the corresponding benzyl bromide (II), which is immediately dissolved in acetonitrile. Silver nitrate is added proportionally to the crude solution (II) at room temperature to obtain derivative (III). A mixture of (III), potassium carbonate and ethyl acetate is cooled under nitrogen at 0 C and slowly treated with a solution of O-acetylsalicyloyl chloride (IV) in ethyl acetate to yield crude NCX-4016. The pure product is obtained by crystallization from isopropyl ether. The three-step prepaation is described in the Scheme 25203601a.

Drug Information Express,Drug R&D,Chemical Database,Patent Search.
Copyright © 2006-2026 Drug Future. All rights reserved.Contact Us