【药物名称】Rafabegron, TAK-677, AJ-9677, AD-9677
化学结构式(Chemical Structure):
参考文献No.30188
标题:Indole derivs.
作者:Kato, S.; Harada, H.; Hirokawa, Y.; Yoshida, N.; Kawashima, H. (Dainippon Pharmaceutical Co., Ltd.)
来源:EP 0801059; JP 1996231504; US 5817689; WO 9616938
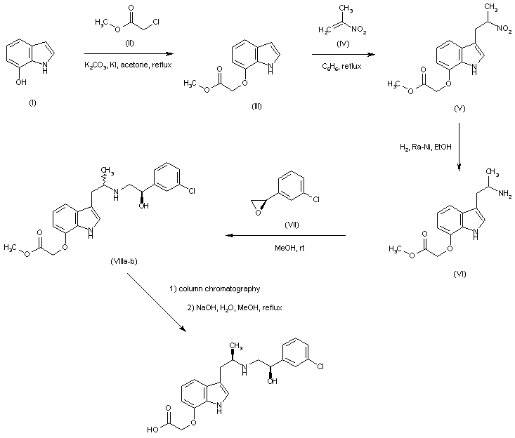
合成路线图解说明:

Alkylation of 7-hydroxyindole (I) with methyl chloroacetate (II) provided indolyl ether (III). Conjugate addition of 2-nitropropene (IV) to indole (III) in refluxing benzene, afforded the 3-(2-nitropropyl)indole (V), which was further reduced to the corresponding amine (VI) by catalytic hydrogenation over Raney nickel. Ring opening of the chiral epoxide (VII) with the racemic amine (VI) gave rise to a diastereomeric mixture of amino alcohols (VIII). After isolation of the desired (R,R)-isomer by column chromatography, basic hydrolysis of the methyl ester function yielded the title carboxylic acid.

Drug Information Express,Drug R&D,Chemical Database,Patent Search.
Copyright © 2006-2026 Drug Future. All rights reserved.Contact Us